- в водоносных грунтах с гидростатическим давлением на конструкцию свыше 0,15 МПа (1,5 кгс/см2);
- при притоках воды в забой свыше 20м3/ч;
- для вентиляционных шахт и тоннелей, эксплуатируемых при знакопеременных температурах, а также для перегонных тоннелей по 150м в обе стороны от примыкания вентиляционных тоннелей;
- в непосредственной близости от других сооружений метрополитена, путей железных дорог, трамвайных линий, а также коммуникаций и сооружений подземного хозяйства, когда применение неметаллической обделки создает опасность их повреждения;
- на отдельных участках длиной менее 25м, когда это вызывается технической необходимостью, связанной с производством работ (прорезные кольца, монтажные камеры, короткие притоннельные сооружения и др.) или с укладкой колец для устройства примыкания притоннельных сооружений.
Обделки перегонных тоннелей необходимо предусматривать внутренним диаметром не менее 5,1 м, за исключением тоннелей в несвязных водоносных или слабых глинистых грунтах, переходных участков с глубокого на мелкое заложение и участков тоннелей, сооружаемых методом продавливания, где следует предусматривать обделки внутренним диаметром не менее 5.4м.
5.6.1.6 Сборные обделки смежных станционных и других расположенных в зоне взаимного влияния тоннелей, в нескальных грунтах, а также тоннелей, располагаемых на расстоянии менее 2м от подстилающих водоносных песчаных или слабых глинистых грунтов, должны иметь конструктивные связи растяжения.
5.6.1.7 При проектировании тоннелей в несвязных водоносных или слабых глинистых грунтах, на переходных участках сборные обделки следует предусматривать с продольными и поперечными связями растяжения и перевязкой швов.
5.6.1.8 Сборную железобетонную обделку с цилиндрическими стыками допускается применять при гидростатическом давлении на конструкцию не выше 0,05 МПа (0,5 кгс/см2).
5.6.1.9 Эскалаторные тоннели следует предусматривать из чугунных тюбингов или высокоточных железобетонных элементов с продольными и поперечными связями растяжения и перевязкой швов и другие прогрессивные типы конструкций.
5.6.1.10 Внутренние несущие конструкции станций и других подземных сооружений предусматривать, как правило, из монолитного или сборного железобетона, а также из армометаллоблоков. Применение стальных конструкций допускается в сооружениях, возводимых закрытым способом для:
- станционных колонн и перемычек, прогонов, затяжек и элементов их соединений;
- гидроизоляции наиболее ответственных узлов конструкций;
- сопряжений сборных обделок тоннелей различных диаметров;
- отдельных элементов реконструируемых сооружений в сложных инженерно-геологических условиях.
6.6.2 Материалы
5.6.2.1 Материалы для обделок и их гидроизоляции, для внутренних строительных конструкций, а также отделочные материалы должны отвечать требованиям прочности, долговечности, пожарной безопасности, устойчивости к химической агрессивности грунтовых вод, другим выявленным видам агрессивного воздействия внешней среды, в том числе воздействию микроорганизмов, не выделять токсичных соединений в условиях строительства и эксплуатации сооружений.
5.6.2.2 Бетонные и железобетонные несущие конструкции предусматривать из тяжелых бетонов по ГОСТ 26633. При соответствующем обосновании допускается применение бетонов плотностью не ниже 1600 кг/м3 на искусственных и природных пористых заполнителях.
5.6.2.3 Классы бетона по прочности на сжатие для обделок, их элементов и внутренних бетонных и железобетонных конструкций принимать на основании необходимой по расчетам несущей способности, но не ниже указанных в таблице 5.6.1.
Таблица 5.6.1
Вид конструкции | Класс бетона |
Высокоточные железобетонные блоки обделок из бетона высокой марки по водонепроницаемости для закрытого способа работ, предварительно напряженные железобетонные элементы конструкций | В40 |
Обычные железобетонные блоки обделок для закрытого способа работ | В30 |
Железобетонные элементы обделок для открытого способа работ (включая цельносекционные), несущих конструкций "стен в грунте" и внутренних конструкций | В25 |
Железобетонные и бетонные монолитные несущие "стены в грунте" и обделки, бетонные монолитно-прессованные обделки | В20 |
"Стены в грунте" для крепления котлованов, внутренние монолитные железобетонные конструкции, бетонные подготовки под гидроизоляцию | В15 |
Путевой бетонный слой верхнего строения пути | В15 |
Жесткое основание пути, бетонное основание под полы, бетон для водоотводящих и кабельных лотков | В15 |
5.6.2.4 Проектную марку бетона обделок по водонепроницаемости принимать по таблице 5.20.1.
5.6.2.5 Проектную марку бетона обделок и внутренних конструкций по морозостойкости в зонах знакопеременных температур принимать по таблице 5.20.2.
При отсутствии знакопеременных температур проектные марки бетона по морозостойкости не должны быть ниже F100.
5.6.2.6 Железобетонные водосборники (зумпфы ВОУ, ямы для очистки ног) выполнять без внутренней гидроизоляции из бетона класса не ниже В25, марки по водонепроницаемости W10, марки по морозостойкости F300 в солях. При обосновании, допускается применение бетонов по пп. 5.6.2.4 и 5.6.2.5 с устройством внутренней гидроизоляции с усиленной защитой от механических воздействий.
5.6.2.7 Для армирования железобетонных конструкций применять арматуру по СНиП 52-01.
5.6.2.8 Характеристики чугуна тюбинговых обделок из серого литейного чугуна должны соответствовать ГОСТ 1412, из высокопрочного чугуна - ГОСТ 7293.
5.6.2.9 Нормативные и расчетные сопротивления проката для стальных конструкций и отливок из серого чугуна разных марок принимать по СП 16.13330.2011.
6.6.3 Обделки и гидроизоляция
5.6.3.1 Конструкция обделок при закрытом способе работ
5.6.3.1.1 При закрытом способе работ обделки должны быть кругового или сводчатого очертания. Очертания стен и сводов должны определяться расчетом.
Пустоты за обделкой заполнять твердеющими составами в соответствии с ВСН 132 [6].
5.6.3.1.2 В элементах (блоках) высокоточных железобетонных обделок по ТУ предусматривать пазы для размещения упругих герметизирующих прокладок. В других типах сборных обделок блоки должны иметь по внутреннему контуру фальцы, образующие в собранной обделке чеканочные канавки.
5.6.3.1.3 Устройство однослойных обделок из набрызгбетона допускается в малообводненных скальных грунтах в сочетании с арматурной сеткой, анкерами, металлическими арками или при условии армирования набрызгбетона фибрами, при этом срок службы металлических изделий должен соответствовать требованиям п.5.6.1.1.
5.6.3.1.4 Размеры монолитных и сборных железобетонных обделок следует назначать по расчёту, из условий выполнения требований СНиП 52-01.
Элементы бетонных и железобетонных обделок должны иметь толщину не менее, мм:
а) железобетонные блоки сплошного сечения - 150;
б) ребра и спинки ребристых железобетонных блоков - 60;
в) своды и стены из монолитного бетона и железобетона - 200;
г) своды и стены из набрызгбетона - 100.
5.6.3.1.5 При раскрытии выработок в скальных грунтах по частям возможно применение обделок в виде свода переменной жесткости (с выносными пятами) из монолитного бетона, опирающегося одновременно на облегченные стены и на грунт.
5.6.3.1.6 Монолитные железобетонные конструкции и рамы (узлы) сопряжения обделок закрытого способа работ проектировать, как правило, с внутренней металлической изоляцией, заанкеренной в бетон обделки.
Конструкцию металлоизоляции назначать в зависимости от гидростатического давления и в соответствии с инструкцией Главтоннельметростроя [34].
Толщину листа металлоизоляции назначать не менее 8 мм. Для торцевых стен – не менее 10 мм.
5.6.3.1.7 Для сооружений, эксплуатируемых в условиях гидростатического давления свыше 0,3 МПа или знакопеременных температур, могут применяться сборно-монолитные обделки в виде армометаллоблоков блоков.
5.6.3.1.8 При сооружении тоннелей способом продавливания применять обделки кругового очертания из чугунных тюбингов или обделки в виде цельных секций (жестких рамных конструкций) прямоугольного очертания из монолитного железобетона.
Железобетонные секции заводского изготовления предусматривать максимальной длины, определяемой возможностями транспортного и грузоподъемного оборудования. Секции, изготовляемые непосредственно на строительной площадке, могут иметь длину до 20-30 м и более.
Для объединения цельных секций в продольном направлении использовать сварку выпусков арматуры, болтовые скрепления закладных деталей в пазах по торцам секций или соединение и обжатие продольной преднапряженной арматурой.
5.6.3.1.9 В обделках из монолитного бетона предусматривать деформационные швы через 30 м, из монолитного железобетона и набрызгобетона - 40 м. В обделках из сборных элементов с омоноличенными стыками через 60 м.
5.6.3.2 Конструкции обделок при открытом способе работ
5.6.3.2.1 Обделки тоннелей при открытом способе работ предусматривать в виде одно-, двух-, трех - или многопролетных замкнутых рам либо в виде сводчатых конструкций из сборного, монолитного или сборно-монолитного железобетона. Преимущественно рекомендуется применять обделки прямоугольного очертания.
5.6.3.2.2 В качестве сборных конструкций, возводимых в открытом котловане, использовать обделки, состоящие из блоков перекрытия, стеновых, фундаментных и лотковых блоков, подколонников, колонн и прогонов. Модификации конструкций осуществлять путем изменения конфигурации, размеров и типов отдельных блоков.
Объединение сборных элементов в рамную конструкцию предусматривать сваркой выпусков арматуры или закладных деталей, бетонированием зазоров, заполнением швов безусадочным цементным раствором.
При пролетах перекрытия длиной более 12 м целесообразно применять предварительно напряженные железобетонные балки Т-образного или коробчатого сечения.
5.6.3.2.3 Конструкции тоннелей при слабом грунтовом основании (пылеватые и мелкие водоносные пески, слабые глинистые грунты) предусматривать с предварительным устройством в основании сооружения распределительной железобетонной плиты толщиной не менее 30 см, если состояние грунтов не требует проведения специальных работ, предотвращающих осадки конструкции.
5.6.3.2.4 Рамные сборные конструкции обделок перегонных тоннелей возможно применять в виде цельносекционных обделок. При преодолении водных преград возможно использовать специальный способ сооружения обделки в виде погружных секций.
5.6.3.2.5 Конструкции, возводимые с применением технологии траншейных стен в грунте, выполнять по СТО-ГК "Трансстрой" 014 [7].
5.6.3.2.6 Конструкции открытого способа работ следует разделять сквозными вертикальными деформационными швами. Расстояние между швами должно быть не более 60 м. При назначении мест устройства деформационных швов дополнительно учитывать:
- изменение типа конструкции;
- изменение вида грунта в основании;
- резкое изменение нагрузок на конструкцию.
Детали архитектурной отделки станций также должны иметь швы по линии деформационных швов конструкций.
5.6.3.2.7 При строительстве тоннельных сооружений в сейсмических районах расстояние между деформационными швами определять расчетом по ВСН-193[8].
5.6.3.3 Гидроизоляция обделок
5.6.3.3.1 Тип и конструкция гидроизоляции для обделок разных видов определяются инженерно-геологическими условиями строительства, величиной гидростатического давления, наличием агрессивных воздействий внешней среды, типом обделки, возможностями обеспечения водонепроницаемости бетона при принятой технологии ведения строительных работ, другими производственными условиями.
5.6.3.3.2 Конструкции тоннелей, сооружаемых открытым способом, должны иметь сплошную наружную гидроизоляцию по всему контуру.
При наличии естественного стока воды под тоннелем в качестве дополнительной защиты его от воды предусматривать пристенный дренаж. В случае недостаточной фильтрационной способности грунтов основания предусматривать устройство под лотковой частью тоннеля пластового дренажа с водоотводом.
5.6.3.3.3 Гидроизоляцию из битумно-полимерных и полимерных материалов (наплавляемую, распыляемую, оклеечную, мембранного типа и др.) при открытом способе производства работ предусматривать из материалов, соответствующих требованиям таблицы 5.6.2 и ГОСТ 30547.
Таблица 5.6.2
Наименование показателя | Показатели для материалов | |
битумно-полимерных (на полимерной основе) | полимерных (безосновных) | |
Условная прочность, МПа, не менее | Не нормируется | 10,0 |
Разрывная сила при растяжении, Н, не менее | 600 | Не нормируется |
Водопоглощение в течение 24 час, % по массе, не более | 1,0 | 1,0 |
Водонепроницаемость при гидростатическом давлении, МПа, не менее | 0,2 | 0,3 |
Температура хрупкости вяжущего, °С, не выше | Минус 25 | Минус 50 |
Гибкость на брусе с закруглением радиусом 10,0±0,2 мм, не выше | Минус 15 | Минус 40 |
Теплостойкость, °С в течение 2 час, не ниже | 85 | 85 |
Относительное удлинение при разрыве, %, (1) | 30-40 | 150-200 |
Адгезия к бетону, МПа, не менее, (2) | 0,5 | 0,5 |
Химическая стойкость (снижение условной прочности и относительного удлинения или разрывной силы при воздействии солей, кислот, щелочей, бензина, минеральных масел и др.), %, не более, (3) | 10 | 10 |
Примечания: 1. Определяется условиями эксплуатации тоннеля. 2. За исключением гидроизоляционных мембран, не имеющим адгезии к ж/б конструкциям. 3. Для гидроизоляции тоннельных конструкций, подверженных воздействию агрессивных сред. |
5.6.3.3.4 В лотковой части гидроизоляцию укладывать на бетонную подготовку (класс бетона не ниже В15) толщиной не менее 10см с выравнивающей стяжкой из цементно-песчанного раствора или мелкозернистого бетона.
В местах устройства деформационных швов для наружной гидроизоляции предусматривать компенсаторы, а в качестве дополнительной гарантии водонепроницаемости обделки - применение гидрошпонок или иных конструкций.
При устройстве гидроизоляции, предварительно наносимой на поверхность элементов сборной обделки, предусматривать надежные способы соединения гидроизоляции отдельных элементов в процессе их монтажа и защиты ее в процессе строительства от повреждений.
5.6.3.3.5 Гидроизоляционное покрытие должно быть надежно защищено от возможных механических повреждений. Защиту покрытия гидроизоляции предусматривать с учетом условий эксплуатации подземного сооружения, его конструктивных особенностей, технологии ведения строительных работ и вида применяемого гидроизоляционного материала.
Защитные покрытия для лотковой части и перекрытия сооружения предусматривать из мелкозернистого бетона класса не ниже В25 толщиной 4-10 см. Защитный слой на перекрытии армировать сетками из арматурной стали с ячейками 100х100 или 150х150 мм.
Гидроизоляцию по стенам сооружения защищать кирпичной стенкой, набрызг-бетоном по сетке, полимерными профилированными мембранами или другими эффективными материалами.
5.6.3.3.6 Гидроизоляцию "стен в грунте", используемых в качестве несущих конструкций в обводненных грунтах, допускается осуществлять металлическими листами толщиной не менее 10 мм.
5.6.3.3.7 При сооружении тоннелей закрытым способом по технологии НАТМ сплошную гидроизоляцию заключать между временной наружной набрызгбетонной и внутренней железобетонной несущей конструкцией тоннеля.
5.6.3.3.8 Гибкую гидроизоляцию, устраиваемую, при необходимости, с внутренней стороны обделки, защищать железобетонной "рубашкой", рассчитанной на восприятие ожидаемого гидростатического давления. При этом обеспечивать плотное прижатие внутренней железобетонной конструкции к гидроизоляции.
5.6.3.3.9 В сборных железобетонных и чугунных обделках тоннелей закрытого способа работ должна быть обеспечена герметизация швов между элементами обделки, болтовых отверстий (при чугунной обделке) и отверстий для нагнетания постановкой упругих уплотнителей или чеканкой в соответствии с ВСН 130 [9] и инструкцией Главтоннельметростроя [34].
6.6.4 Нагрузки и воздействия
5.6.4.1 Виды нагрузок и воздействий
5.6.4.1.1 Нагрузки и воздействия по продолжительности их действия на обделки тоннелей подразделять по СП 20.13330.2011 на постоянные и временные (длительные, кратковременные и особые).
5.6.4.1.2 К постоянным нагрузкам и воздействиям относить:
- вес насыпного грунта, горное давление;
- гидростатическое давление;
- собственный вес конструкций;
- вес зданий и сооружений, находящихся в зонах их воздействия на подземную конструкцию;
- сохраняющиеся усилия от предварительного обжатия обделки.
5.6.4.1.3 К временным длительным нагрузкам и воздействиям относить:
- силы морозного пучения грунта;
- вес стационарного оборудования;
- сезонные температурные воздействия, воздействия усадки и ползучести бетона и некоторые другие по СП 20.13330.2011;
- усилия от предварительного обжатия обделки.
К кратковременным нагрузкам относить:
- нагрузки и воздействия от внутритоннельного и наземного транспорта;
- нагрузки и воздействия в процессе сооружения тоннеля: от давления щитовых домкратов, от нагнетания раствора за обделку, от усилий, возникающих при подаче и монтаже элементов сборных конструкций, от воздействия веса проходческого и другого строительного оборудования и некоторые другие, определяемые особенностями производства работ.
5.6.4.1.4 К особым воздействиям и нагрузкам относить сейсмические и взрывные воздействия, температурные воздействия, воздействия от сдвиговых деформаций грунтового массива и некоторые другие особые нагрузки по СП 20.13330.2011, которые могут иметь отношение к проектируемому объекту.
5.6.4.1.5 При реконструкции объектов метрополитена исходными данными являются результаты повторных инженерно-геологических, гидрологических и геотехнических изысканий.
5.6.4.2 Постоянные нагрузки и воздействия
5.6.4.2.1 Вертикальные и горизонтальные нагрузки от веса насыпного грунта при открытом способе работ, от давления грунта при закрытом способе работ или от других постоянных нагрузок, действующих в пределах всего пролета или всей высоты сооружения или выработки, при расчетах тоннельных обделок допускается принимать как равномерно распределенные.
5.6.4.2.2 Для объектов, сооружаемых открытым способом, величину нормативной вертикальной нагрузки от насыпного грунта принимать в соответствии с давлением всей его толщи над сооружением с учетом веса наземных зданий и других сооружений, строительство которых предусмотрено над данным объектом или в пределах призмы обрушения грунта.
5.6.4.2.3 Нормативные вертикальные и горизонтальные нагрузки на обделки тоннелей, сооружаемых закрытым способом, определять по результатам инженерно-геологических изысканий с учетом возможности образования в грунтах самонесущего свода (рисунок 1).

Рисунок 1 - Схема для расчета высоты свода обрушения
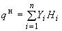
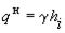
5.6.4.2.4 В неустойчивых грунтах, в которых сводообразование невозможно (водонасыщенные несвязные и слабые глинистые грунты), нагрузки принимать с учетом давления всей толщи грунтов над тоннельным сооружением. Нормативную вертикальную и горизонтальную нагрузки qHи pH, кН/м2, определять в таких случаях по формулам:
;
,
где Yi- нормативная плотность грунта соответствующего слоя напластования, кН/м3;
Hi - толщина соответствующего слоя напластования, м;
n - число слоев напластований;
- кажущийся угол внутреннего трения грунта в уровне сечения тоннеля, градус.
Такие же нагрузки принимать и при наличии сводообразования, если расстояние от вершины свода обрушения до земной поверхности или до контакта с неустойчивыми грунтами меньше высоты свода обрушения.
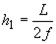
5.6.4.2.5 Нормативные равномерно распределенные нагрузки: вертикальную - qH и горизонтальную - pH, кН/м2, в условиях сводообразования для однородной толщи грунта определять по формулам:
;
,
где h1- высота свода обрушения над верхней точкой обделки, м (рисунок 1), определяемая по пп. 5.6.4.2.6 и 5.6.4.2.7;
- нормативная плотность грунта, кН/м3;
h - высота выработки, м;
- нормативный (кажущийся) угол внутреннего трения грунта в уровне сечения тоннеля, градус.
5.6.4.2.6 Высоту свода обрушения h1 над верхней точкой обделки в условиях сводообразования (рисунок 1) для нескальных необводненных грунтов определять по формуле:
,
где L- величина пролета свода обрушения, определяемая по формуле:
;
f – коэффициент крепости, принимаемый на основании геологических изысканий. Допускается данный коэффициент принимать по таблице 5.6.3;
b - величина пролета выработки, м.
Таблица 5.6.3
Вид грунта в сечении и кровле выработки | Коэффициент f |
Глины твердые литифицированные (сланцеватые, аргиллитоподобные, мергелистые и т. п.) | 1,0 |
Глины твердой консистенции переуплотненные типа верхнекаменноугольных или протерозойских | 0,9 |
Крупнообломочные грунты с супесчано-песчаным заполнителем плотные, глины и суглинки твердой консистенции | 0,8 |
Пески плотные маловлажные или супесчано-суглинистые грунты | 0,7 |
Глины и суглинки полутвердой консистенции | 0,6 |
Высоту свода обрушения h1 над верхней точкой обделки для тоннелей, сооружаемых в глинистых грунтах на глубине более 45 м, принимать с коэффициентом К=Н/45, где Н - глубина заложения тоннеля от поверхности земли до низа тоннельной обделки, м.
При заложении тоннелей в глинистых грунтах, прочность которых уменьшается под влиянием поступающих подземных вод, высоту свода обрушения h1 увеличивать в пределах до 30%.
Примечание - Для трехсводчатых станций за величину пролета выработки “b” принимается суммарная ширина станционных выработок.
5.6.4.2.7 Высоту свода обрушения h1 над верхней точкой обделки в условиях сводообразования для скальных грунтов определять по формулам:
а) для скальных грунтов, оказывающих вертикальное и горизонтальное давление:
,
б) для скальных грунтов, оказывающих только вертикальное давление:
,
где R - предел прочности грунта на сжатие "в куске" (образце), МПа;
- коэффициент, учитывающий влияние трещиноватости массива, принимаемый по таблице 5.6.4 исходя из предела прочности грунта на сжатие "в куске" и категории массива по степени трещиноватости, которая определяется в зависимости от трещинной пустотности и густоты трещин (среднего расстояния между трещинами наиболее развитой их системы) по таблице 5.6.5 и дополнительных характеристик трещиноватости по СН 484 [10].
Таблица 5.6.4
Категория массива скальных грунтов по степени трещиноватости | Коэффициент | ||||
10 | 20 | 40 | 80 | 160 | |
I - практически нетрещиноватые | 1,7 | 1,4 | 1,2 | 1,1 | 1,0 |
II - малотрещиноватые | 1,4 | 1,2 | 1,0 | 0,9 | 0,8 |
III - среднетрещиноватые | 1,2 | 0,9 | 0,7 | 0,6 | 0,5 |
IV - сильнотрещиноватые | 0,9 | 0,7 | 0,5 | 0,4 | 0,3 |
V - раздробленные (разборная скала) | 0,7 | 0,4 | 0,3 | 0,2 | 0,1 |
Таблица 5.6.5
|
Из за большого объема этот материал размещен на нескольких страницах:
1 2 3 4 5 6 7 8 9 10 11 12 13 14 15 16 17 18 19 20 21 22 23 24 25 26 27 28 29 30 31 32 33 |



