О. А. МИШУЛИНА, , А. Г. ТРОФИМОВ, ,
Московский инженерно-физический институт (государственный университет)
ПРИМЕНЕНИЕ НЕЙРОСЕТЕВОЙ ДИНАМИЧЕСКОЙ МОДЕЛИ АКСИАЛЬНОГО ПРОФИЛЯ ЭНЕРГОВЫДЕЛЕНИЯ АКТИВНОЙ ЗОНЫ ВВЭР-1000
ДЛЯ КОРРЕКЦИИ ПОКАЗАНИЙ
ИОНИЗАЦИОННЫХ КАМЕР
В докладе представлена динамическая модель построения аксиального профиля энерговыделения в активной зоне ВВЭР-1000 с помощью нейросетевых технологий. Применение алгоритма планируется для коррекции показаний внешних ионизационных камер. Для «обучения» нейросетевой модели использовалась программа NOSTRA [1]. Работа проводилась при поддержке РФФИ (грант 1).
Для получения оперативной информации о величине мощности реактора используется ток внешних ионизационных камер (ИК). Высокая точность определения мощности с помощью ИК необходима, т. к. на это показание ориентирована система управления и защиты реактора (СУЗ). В ходе управления мощностью реактора ВВЭР-1000 с помощью органов регулирования (ОР) СУЗ происходит значительная деформация поля энерговыделения (ЭВ), которая приводит к нарушению пропорциональности между величиной тока ИК и мощностью активной зоны. Основная часть деформации поля ЭВ при движении ОР СУЗ приходится на аксиальный профиль.
В работе поставлена задача построения нейросетевой динамической модели аксиального профиля ЭВ ТВС в активной зоне реактора ВВЭР-1000, которая позволяет воспроизвести динамику профиля ЭВ при произвольном управлении. Обозначим l – номер рассматриваемой ТВС, yl(z1, t),…, yl(zR, t) – процессы энерговыделения, наблюдаемые в узлах ТВС на высоте z1,…, zR. Представим высотный профиль ЭВ yl(z, t) в момент времени t в виде полинома степени k:
. (1)
Предполагается, что pi,
, удовлетворяют дифференциальному уравнению вида:
, (2)
для которого может быть записана нелинейная авторегрессионная модель в терминах "вход-выход" (NARX‑модель, Nonlinear AutoRegressive with eXogenous inputs):
Для каждого значения i строится нейросетевая реализация модели на основе NARX‑нейросети. Выходы этих моделей используются для расчёта профиля ЭВ по формуле (1).
Для обучения NARX‑нейросети на основе экспериментальных данных
,…,
, рассчитывается вектор p(t) коэффициентов полинома вида (1), наилучшим образом аппроксимирующего эти данные по критерию минимальной среднеквадратической ошибки.
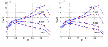
На рис. 1, представлены профили ЭВ в разные моменты времени манёвра мощности реактора. Точками отмечены экспериментальные данные. Графики построены для порядка полинома k = 4.
Рис. 1. Профили аксиального ЭВ в различные моменты времени манёвра
Список литературы
1. Программа NOSTRA (версия 5.0). Аттестационный паспорт программного средства. Рег. № 000 от 01.01.2001. Федеральный надзор России по ЯРБ, Москва, 2003 г.
2. Kharitonov V. S., Mishulina O. A., Trofimov A. G. et al. Two neural network models for nuclear engineering applications. Optical Memory&Neural Networks. Vol. 14, №4, Allerton Press, 2005.


