Как заработать свои первые деньги?
Слушайте больше на Подкасте Михалыча для молодежи
СОПРОТИВЛЕНИЕ (прочность) СМЕРЗАНИЯ (силы смерзания) — сопротивление горных пород, смерзающихся с каким-либо телом (например, фундаментом), сдвигу вдоль боковой поверхности последнего под воздействием внешней нагрузки.
СОР (шор) — тюрк. — 1. Название солончаков в Казахстане и Ср. Азии, образовавшихся в результате высыхания соляного озера. 2. В бассейне Оби нижние части подтопленных речных долин, например Полупский сор.
СОРБЦИЯ — явление поглощения коллоидом (сорбентом) веществ из окружающей среды (главным образом из раствора). Различают адсорбцию, когда поглощение осуществляется только поверхностным слоем сорбента, и абсорбцию, когда поглощает вся масса сорбента (а не только его поверхность). Практически эти два вида сорбции различить довольно трудно.
СОСКАЛЬЗЫВАНИЕ — простейшая форма восстановления равновесия на склонах, заключающаяся и том, что отдельный участок склона соскальзывает как более или менее связное тело по существовавшей ранее поверхности скольжения (плоскости напластования или по трещине). Движение этого рода в наиболее чистом виде проявляется в слоистых породах, у которых падение слоев направлено в сторону склона.
СОФФИОНИ — струи сжатого пара, выделяющиеся вместе с С02, H.:S, NH3 и борной кислотой из трещин в областях современной вулканической деятельности. С. родственны, с одной стороны, гейзерам, с другой — сольфа-тарам. Наиболее известны С. в Тоскане (Италия), где они используются с промышленными целями.
СПЛЫВ — см. Оплывина.
СПОНТАННЫЙ ГАЗ — газ, находящийся в свободном состоянии и выделяющийся из воды в виде пузырьков после полного насыщения ее газом при данных температуре и давлении. При повышении температуры или при понижении давления част], газа, растворенного в воде, переходит в спонтанное состояние.
СРЕДНЯЯ СКОРОСТЬ ПОТОКА — скорость, с которой должны были бы перемещаться все частицы жидкости через живое сечение потока, чтобы сохранился расход, соответствующий действительному распределению скоростей.
СТАБИЛОМЕТР УНИВЕРСАЛЬНЫЙ - прибор для ком плексного исследования физико-механических свойств грунтов в условиях трехосного напряженного состояния.
СТАЛАГМОМЕТР — прибор для измерения поверхностного натяжения жидкостей по методу счета и взвешивания капель, образуемых при истечении жидкости из капиллярного отверстия стеклянной трубки, торец которой отшлифован перпендикулярно к ее оси.
СТАТИЧЕСКИЕ ЗАПАСЫ ПОДЗЕМНЫХ ВОД — см Запасы статические.
СТАТИЧЕСКИЙ УРОВЕНЬ ПОДЗЕМНЫХ ВОД - естественный, не нарушенный откачкой или нагнетанием уровень подземных вод.
СТАЦИОНАР ГИДРОГЕОЛОГИЧЕСКИЙ — участок земной поверхности с определенными гидрогеологическими условиями, оборудованный постоянной сетью пунктов с необходимой аппаратурой для гидрогеологических - наблюдений или производства опытных работ с целью усо вершенствования методов гидрогеологических изысканий.
СТЕПЕНЬ КОНСОЛИДАЦИИ ГРУНТА - отношение осадки (деформации) образца грунта в компрессионном приборе в некоторый момент Т к полной осадке его, наблюдаемой по окончании процесса консолидации под данной нагрузкой:
![]()
где ДhT — деформация образца в момент Т, считая от момента приложения давления Рп; Дhк. — полная деформация образца в интервале давления Pn — t и Рп.
В зависимости от характера грунта следует различать два типа процесса консолидации. Консолидация первого типа наблюдается в грунтах со слабыми водно-коллоидными связями (пылеватые и песчанистые глинистые грунты), обусловливается водопроницаемостью грунта и условиями оттока выжимаемой из грунта воды; это так называемая фильтрационная консолидация. Консолидация второго типа наблюдается в глинистых грунтах со значительными водно-коллоидными структурными связями, которые осложняют проносе уплотнения. СТОК
РАСТВОРЕННЫХ ВЕЩЕСТВ (химический сток) — выносимое реками с данной территории в течение года количество неорганических и органических веществ, находящихся в ионно-молекулярном и коллоидном состоянии, т. е. веществ, размер частиц которых не превышает 10~5 см.
СТОЧНЫЕ ВОДЫ — загрязненные воды, подлежащие удалению с территории населенных мест и промышленных предприятий: 1) бытовые и фекально-хозяйственные (от уборных, умывальников, кухонь, бань, прачечных и т. д.); 2) промышленные и производственные, загрязненные отходами производства (заводов, гаражей, боен, нефтебаз и пр.); 3) атмосферные или ливневые (от дождей и таяния снега). В зависимости от степени загрязненности и предъявляемых санитарных требований С. в. могут быть спущены в водоем непосредственно или после очистки (механической, химической, биологической).
СТРУЙЧАТОЕ (ламинарное) ДВИЖЕНИЕ ЖИДКОСТИ — движение жидкости без пульсации скоростей, приводящей к перемешиванию частиц. Происходит слоями или струйками при небольших скоростях, не превышающих критическую скорость. (См. Рейнолъдса число.)
СТРУКТУРА ГОРНОЙ ПОРОДЫ — строение породы или почвы, определяемое тремя рядами признаков: 1) величиной, формой, а иногда и характером поверхности слагающих породу элементов — отдельных минеральных частиц пли их агрегатов; 2) взаимным расположением и соотношением тех же элементов; 3) наличием и характером внутренних связей между теми же слагающими породу элементами (структурные связи).
СТРУКТУРНЫЕ ОПОЛЗНИ — оползни, у которых поверхностью скольжения является плоскость напластования горных пород, либо система трещин пли тектонических нарушений в направлении склона.
СУБАКВАЛЬНЫЙ (подведший) ИСТОЧНИК — истом ник, выходящий под водой на дне пли в бортах водоема или водотока. Противополагается субаэральному источнику.
СУБАРТЕЗИАНСКИЕ ВОДЫ — термин, употребляемый разными авторамп с различным значением: 1) напорные воды, не поднимающиеся выше поверхности земли; 2) напорные воды, поднимающиеся до высоты ниже уровня грунтовых вод; 3) напорные воды, поднимающиеся до высоты ниже уровня моря; 4) воды, не обладающие постоянным определенным напором, который меняется на коротких расстояниях. Термин «субартезианские воды» был впервые применен техниками, противопоставлявшими эти несамо-изливающиеся воды артезианским, самоизливающимся водам.
СУБМАРИННЫЙ ИСТОЧНИК — см. Подводный источник.
СУЛЬФИДНЫЕ (сероводородные) ВОДЫ — воды, содержащие свободный сероводород и ионы HS~, S203 , SO3 и S. По содержанию свободного H2S они подразделяются на воды: 1) с высокой концентрацией ШЗ (300 — 150 мг/л); 2) со средней концентрацией H2S (150 — 50 мг/л); со слабой концентрацией Н„8 (50 — 10 мг/л). По химическому составу С. в. могут быть хлоридно-натриевыми, хлоридио-сульфатными и сульфатными. Наибольшей известностью пользуются источники Мацесты (Кавказ), Ключей (Урал) и Сергеевских мицеральвых вод (Поволжье).
СУСПЕНЗИИ — механические взвеси тонких частиц породы в воде. Примером могут служить глинистые суспензии в природных водах. Тонкие суспензии (размером меньше 10~5 см) весьма устойчивы и осаждаются очень медленно. Грубые суспензии (размером значительно больше 10~ см) называются собственно взвесями; они изучаются гидрологией (сток наносов или твердый сток).
СУФФОЗИОННЫЕ ОПОЛЗНИ — оползни, возникающие в результате выноса мельчайших частиц или растворимых составляющих подземными водами, выходящими на склоне в виде источников; такой вынос приводит к разрыхлению песчаных пород, что в свою очередь обусловливает смешение вышележащих пород.
СУФФОЗИЯ (по ) — оседание поверхности земли вследствие выщелачивания и выноса растворимых составляющих подземными водами из нижележащих пород. II. М. Бочков (1936 г.) различает суффозии следующих видов: 1) химическую — вымывание растворимых солей; 2) коллоидную — вымывание частиц грунта с разрушением микроагрегатов коагулированных глинистых частиц; 3) механическую — вымыла пне мелких частиц грунта из пор части скелета более крупных частиц грунта. Показателем механической суффозии является критическая величина вымывающих скоростей. В настоящее время термин «суффозия» обычно употребляют для обозначения механического выноса подземными водами мель чайщих частиц из породы.
СУХИЕ (высокотемпературные) ФУМАРОЛЫ — фума-ролы с температурой 650 — 1000°. Выделяют главным образом HCl, немного SO2 и СO2, не содержат паров воды и отлагают преимущественно NaCl и KG1, а также хлориды и сульфаты меди, свинца и железа.
СУХОЙ (плотный) ОСТАТОК — растворенные в соде вещества, остающиеся после выпаривания воды при температуре 105 — 110°. Обычно указывается в анализах воды в граммах и миллиграммах на 1 л или на 1 кг воды.
СЦЕПЛЕНИЕ — взаимное притяжение частиц, слагающих связные грунты, вызываемое цементацией частиц, водно-коллоидными связями, непосредственным взаимодействием частиц.
Т
ТАЛИК — участок горной породы в районе многолетней мерзлоты с положительной средней годовой температурой, сухой или заключающий в себе капельножидкую воду. Т. может находиться над мерзлой геозоиой, или в ней, или под ней. Т. имеет большое значение для водоснабжения в зоне многолетней мерзлоты.
ТАМПОНАЖ СКВАЖИН — изоляция водоносных и поглощающих пластов от нефтеносных и газоносных пластов в процессе бурения.
ТАРТАНИЕ — способ извлечения жидкости из скважины при помощи желонки. В гидрогеологии Т. применяется для ориентировочного определения притока воды в скважину, прокачки скважин, предназначенных для наблюдений за режимом подземных вод, и пр.
ТАРЫН (Якутск.) (гпдроаффузив, накипь) — ледяное поле, покров обычно из слоистого льда, возникающие зимой в результате последовательного промерзания слоев грунтовой или грунговоречной воды, излившейся на поверхность.
ТЕМПЕРАТУРНОЕ РАВНОВЕСИЕ СКВАЖИНЫ - восстановление естественного (первоначального) распределения температур горных пород в скважине, нарушенного в результате бурения. Для восстановления естественных температур требуется время от нескольких дней до нескольких недель. Т. р. с. — важнейшее условие методики геотермических измерений.
ТЕОРИЯ ПРОИСХОЖДЕНИЯ ПОДЗЕМНЫХ ВОД -1) инфилътрационпая; 2) конденсационная; 3) ювепильная; 4) погребенных вод.
1. Инфильтрационная теория зародилась в древние времена и в общем виде была высказана еще в сочинении римлянина Марка Виртрувия Поллия «До Архитектура». Окончательно она оформилась благодаря трудам французского физика Мариотта в 1717 г. Основные положения Мариотта, вытекавшие из наблюдений, сводились к следующему: подземные воды происходят из атмосферных осадков, которые по мельчайшим канальцам горных пород проникают в землю, где и скапливаются, что происходит не в равнинах, а в горных местах и особенно легко в том случае, когда в породах много трещин; вода, проникая вглубь и встречая водонепроницаемые пласты, накапливается и, местами вытекая на поверхность, дает начало источникам.
2. Конденсационная теория была выдвинута в 1877 г. немецким инженером Фольгером, считавшим, что подземные воды образуются благодаря сгущению в почве на некоторой глубине от поверхности водяных паров атмосферы. В дальнейшем эта теория встретила большие возражения со стороны ряда исследователей. Например, русский агрофизик в результате тщательно поставленных им опытов в период 1907 — 1917 гг. разоблачил теорию Фольгера как чисто умозрительное заключение. Он установил, что конденсация водяных паров атмосферы в почве может происходить вследствие перемещения парообразной влаги от мест с более высокой температурой и болео высоким давлением пара в места с более низкой температурой и более низким давлением пара; это явление возможно в течение всего года. выделил также различные виды воды в почвах и горных породах. В дальнейшем идеи А. Ф. Лебедева подвергались разработке и уточнению; в них были внесены некоторые поправки, но предложенная А. Ф. Лебедевым схема различных видов воды в горных породах принципиального изменения не претерпела.
3. Ювенильная теория выдвинута в 1902 г. венским геологом Э. Зюссом, который привел ряд доказательств о связи некоторых минеральных вод с расплавленной вязкой магмой, в изобилии пропитанной различными газообразными продуктами. Из расплавленной магмы эти продукты начинают выделяться, и попадая в области с более низкими температурами, конденсируются, образуя ювенильные (т. е. девственные) воды, которые в виде источников выходят на земную поверхность. В отличие от них воды атмосферного происхождения Э. Зюсс назвал вадозными (от латинского слова Vadere — блуждать), т. е. участвующими в общем круго вороте влаги на земле.
4. Теория погребенных вод рассматривает часть подземных вод как захороненные остатки вод древних бассейнов.
ТЕРМАЛЬНАЯ ЛИНИЯ ИСТОЧНИКОВ — линия сбросов и тектонических разломов, вдоль которой расположены теплые и горячие источники, например, Обигармская линия (Таджикская ССР), Баргузинская (Забайкалье), Иссыккульская (Киргизская ССР), Копетдагская (Туркменская ССР), Венская (Восточные Альпы).
ТЕРМАЛЬНЫЕ ВОДЫ — см. Термы.
ТЕРМОКАРОТАЖ — каротаж, имеющий целью изучение тепловых явлений и процессов на глубине при помощи спускаемых в скважину специальных термометров электрических сопротивлений.
ТЕРМОКАРСТ (мерзлотный, полярный карст) — явление неравномерного проседания или провала почвы и подстилающих ее горных пород в результате вытаивания из них подземного льда.
ТЕРМОМЕТР ЭЛЕКТРИЧЕСКОГО СОПРОТИВЛЕНИЯ -термометр, основанный на принципе возрастания электрического сопротивления металлов с повышением их температуры. Приемная часть термометра опускается в скважину на специальном кабеле, изоляция которого не подвергается разъеданию нефтью или соляным раствором.
Точность отсчета температуры может быть доведена до 0,001°. Широко применяется при геотермических и вообще температурных измерениях в скважине.
ТЕРМОМЕТРЫ ГЛУБИННЫЕ — термометры для измерения температуры почвы на некоторой глубине от поверхности. Используются главным образом в метеорологии и при изучении зоны аэрации. г. двух видов: термометры, устанавливаемые на теплое время года в почву на глубине 5 — 20 см таким образом, что над поверхностью почвы остается только часть термометра со шкалой, и термометры глубинные, вытяжные, опускаемые внутрь погруженных в землю эбонитовых или пластмассовых трубок на глубину 20 — 320 см.
ТЕРМЫ — в бальнеологии — термальные источники, температура воды которых больше 20° или по другим определениям больше средней годовой температуры воздуха данной местности. Абсолютные термы > 37°. По Лаиге воды с температурой 20 — 42° теплые, причем воды с температурой 20 — 36° субтермальные, 36 — 42° термальные, свыше 42° гипертермальные.
ТЕХНИЧЕСКИЕ ВОДЫ — воды, пригодные по своему качеству для различных целей промышленности, в частности для питания паровых котлов.
ТИКСОТРОПНЫЕ ЯВЛЕНИЯ В ГЛИНИСТЫХ ГРУНТАХ — способность тонкодиспсрсных грунтов под влиянием механического воздействия, например встряхивания или размешивания, при определенных условиях разжижаться и переходить из гелеобразного состояния в золи или суспензии (см.). Кроме чисто механического воздействия, то же явление можно вызывать, например, ультразвуковыми волнами, электрическим током и т. д. Пос. че прекращения действия причины, вызвавшей тиксотроп-ное превращение, грунт снова переходит из золя в гель.
ТОЛКАЮЩИЕ (детрузивные) ОПОЛЗНИ — оползни, движение которых начинается с отделения массы породы в верхней части склона по какой-либо причине (например, образование трещин). Отделившаяся масса начинает давить на нижележащие по склону породы, которые выпираются и образуют у подножья вал.
ТОРПЕДИРОВАНИЕ СКВАЖИН — способ повышения притока жидкости или газа к забою скважины, пробуренной в твердых породах, при помощи взрыва. На забой скважшгы опускается и там взрывается специальный снаряд (торпеда); в результате взрыва в призабойиой зоне в горных породах образуются трещины, по которым жидкость (нефть, вода) или газ интенсивно притекают к забою.
ТОРФЯНЫЕ ВОДЫ — воды торфянЕлх болот, обычно тиино-коричнепыр, богатые гуминовьшп кислотами. Вытекал из торфяников, Т. в. образуют так называемые «черные речки» («черняики»).
ТРАВЕРТИН — натечные скопления углекислого кальция CаСO3 ноздреватого или пористого сложения, отлагаемые углекислыми источниками.
ТРЕЩИННЫЕ ВОДЫ — подземные воды, приуроченные к трещиноватым скальным породам, как изверженным, гак и осадочным (песчаникам, кварцитам, известнякам, туфам и т. п.). Эти воды перемещаются по системе сопряженных трещин — узких щелей различных размеров, образовавшихся в горных породах под воздействием тектонических, климатических, геоморфологических и других факторов.
ТУНДРОВЫЕ ВОДЫ (по ) — подземные воды тундры и крп-волесья Севера, залегающие близко к поверхности. в. характерны незначительная минерализация и большое содержание органических веществ.
ТУРБУЛЕНТНОЕ ТЕЧЕНИЕ (вихревое движение жидкости) — течение жидкости (или газа), при котором происходит интенсивное перемешивание частиц (весьма малых объемов среды), движущихся по самым беспорядочным траекториям.
ТЯЖЕЛАЯ ВОДА — окись дейтерия D2O — химическое соединение тяжелого изотопа водорода (дейтерия) с кислородом. В обычной воде Т. в. присутствует в количестве 0,02%. Чистая 100%-ная Т. в. состава H22O16 имеет плотность 1,1°), температуру кипении +101,42°, температуру плавления +3,82° и температуру наибольшей плотности +11,6°. Т. в. по физико-химическим свойствам резко отличается от обыкновенной воды. Она замедляет все химические процессы и жизнедеятельность организмов. Используется в атомных реакторах в качестве замедлителя нейтронов.
У
УГЛЕВОДОРОДНЫЕ ГАЗЫ - газы, в составе которых преобладают метан и его высшие гомологи: этан, пропан и бутан. В зависимости от содержания метана различают сухие и жирные газы.
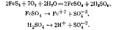
УГЛЕКИСЛОТНОЕ И СЕРНОКИСЛОТНОЕ ВЫВЕТРИ ВАНИЕ — процесс Химического выветривания, в результате которого образуются водорастворимые соединения. Углекислотпое выветривание происходит под влиянием углекислоты и воды, например, по следующей схеме:

Сернокислотное выветривание происходит под влиянием кислорода и воды, например, но следующей схеме:

Благодаря образованию таких продуктов, как серная кислота, сернокислотное выветривание может развиваться далее без участия кислорода, как это видно из следующей схемы:

Углекислотлое выветривание может происходить во всех подземных водах независимо от глубины их залегания, так как во всех подземных водах содержится то или иное количество углекислоты. Глубина сернокислотного выветривания определяется глубиной проникновения кислорода и продуктов сернокислотного выветривания. В благоприятных условиях эта глубина (промытые и проточные структуры) может достигать 600 — 1000 м.
УГЛЕКИСЛЫЕ ВОДЫ — воды, содержащие в растворе свободный углекислый газ (С02) в количестве не менее 0,25 г/л. В типичных У. в. содержание С02 превышает 0,750 г/л.
УГЛЕКИСЛЫЕ ФУМАРОЛЫ (мофетты) — низкотемпературные (не выше 100°) фумаролы, выделяющие главным образом углекислый газ и пары воды.
УГЛОВЫЕ (стыковые) ВОДЫ (воды углов пор по Пункеру, пендулярные воды по Ферсмонсу) — воды, образующие кольцо вокруг точки соприкосновения двух частиц породы, находящиеся в углах пор и ограниченные водной поверхностью, подобной мениску в капиллярных трубках. От фоникулярных вод отличаются тем, что водяные кольца разобщены.
УГОЛ ВНУТРЕННЕГО ТРЕНИЯ — угол наклона прямолинейной части диаграммы сдвига грунта к оси нормальных давлений (рис. 14). При давлении > 1 кг/см2 У. в. т. грунтов — практически величина постоянная. У. в. т. является показателем сил трения в грунте, возникающих при явлениях сдвига и оказывающих сопротивление сдвигу.

Рис. 14. График зависимости сдвигающего усилия т от вертикальной нагрузки (а)
УГОЛ ЕСТЕСТВЕННОГО ОТКОСА — угол, при котором неукрепленный откос песчаного грунта еще сохраняет равновесие, или угол, под которым располагается свободно насыпаемый песок. У. е. о. определяется в воздушно-сухом состоянии и под водой.
УДЕЛЬНАЯ ВОДООТДАЧА — отношение объема гравитационной воды, свободно вытекающей из горной породы, к объему породы.
УДЕЛЬНАЯ ПОВЕРХНОСТЬ ЧАСТИЦ — суммарная поверхность частиц в единице объема горной породы.
УДЕЛЬНОЕ ПОГЛОЩЕНИЕ ВОДЫ СКВАЖИНОЙ — расход воды, нагнетаемой в скважину, выраженный в л /мин, отнесенный к 1 м напора и 1 м длины испытуемого интервала горных пород, пересеченных скважиной.
УДЕЛЬНЫЙ ВЕС — в инженерной геологии — отношение веса абсолютно сухого грунта (Cs) к весу воды в объеме твердых частиц (Vs); у = G5/Vs.
УДЕЛЬНЫЙ ДЕБИТ СКВАЖИНЫ — отношение дебита скважины, выраженного в л/сек, к понижению уровня воды в скважине в м.
УДЕЛЬНЫЙ РАСХОД ПОДЗЕМНОГО ПОТОКА — расход потока подземных вод на единицу ширины его фронта.
УКЛОН ПОВЕРХНОСТИ ПОТОКА ГРУНТОВЫХ ВОД (средний уклон) — отношение разности отметок свободной поверхности воды в двух точках, расположенных в направлении движения потока, к расстоянию между этими точками.
УПЛОТНЕНИЕ ГЛИНИСТЫХ ОТЛОЖЕНИЙ — уменьшение пористости глинистых отложений при увеличении внешней нагрузки. В естественных условиях У. г. о. происходит под действием веса отлагающихся выше осад-, ков. По мере уплотнения прочность глинистых пород возрастает. Для выражения степени уплотненности глинистых пород предложил выражение
![]()
где Кд — показатель степени уплотненности; е — коэффициент пористости грунта с естественной структурой; еf — коэффициент пористости при переходе грунта из пластичного в текучее состояние; ер — коэффициент пористости при переходе грунта из пластичного в полутвердое состояние.
Величины еf и ер легко получить из обычных весовых значений путем умножения их на соответствующий удельный вес породы:
![]()
где Wf и Wp — весовые влажности, соответствующие значениям еf и eР. Величины Кd при различных значениях в приведены в следующей таблице.
|
Приведенная пористость |
Показатель уплотненности |
Состояние породы |
|
e > ef |
Kd < 0 |
Недоуплотненное (характерно для субаэральных отложений) |
|
e = ef |
Kd=0 |
Начальная степень уплотнения |
|
ер < e < еf |
0 < Kd < 1 |
Соответствует пластичному |
|
e = ер |
Kd = 1 |
Переход в полутвердое |
|
е<ер |
Kd > 1 |
Переуплотненное (полутвердое) |
УПЛОТНЕНИЕ ГРУНТОВ — повышение плотности грунтов вследствие уменьшения объема пустот в них (уменьшение пористости). Уплотнение увеличивает объемный вес грунта, повышает сопротивление его сжатию и вдавливанию (повышает несущую способность), уменьшает возможность фильтрации воды через грунт, способность к влагопоглощениго, осадке и т. д. У. г. обычно протекает как процесс вытекания из грунтов газообразной фазы (воздуха), вследствие чего происходит сближение твердых частиц и грунт, состоящий из трех фаз — твердой, жидкой (воды) и газообразной, переходит в состояние, близкое к двухфазной системе — грунтовой массе. Максимально уплотненные грунты содержат не более 5% воздуха. Наибольшее уплотнение достигается при оптимальной влажности грунта.
При строительстве дорог, аэродромов, гидротехнических сооружений У. г. производится укаткой, трамбованием, вибрированием, гидравлическим способом (намыв), а также сочетанием двух способов, например вибрированием с трамбованием, вибрированием с нагнетанием воды в грунт (гидровибрированием). В современном строитель стве получает применение эффективный способ глубинного уплотнения слабых водопасыщенных грунтов оснований сооружений так называемыми грунтовыми сваями, а также взрывами в скважинах.
УПЛОТНЯЕМОСТЬ ПЕСКА — способность песка изменять расположение зерен при встряхивании, что влечет за собой уменьшение пористости песка. Для характеристики способности песков к уплотнению можно пользоваться следующим выражением:
![]()
или, если приведенную пористость заменить пористостью
![]()
где eмакс> eмин — коэффициент пористости песка в самом рыхлом и самом плотном состояниях; nмакс> nмин - пористость песка в самом рыхлом и самом плотном состояниях.
УПРУГИЕ ЗАПАСЫ НАПОРНЫХ ВОД — запасы подземных вод, высвобождающиеся при вскрытии водоносного пласта и снижении пластового давления в нем при откачке (или самоизлипе) за счет объемного расширения воды и уменьшения поропого пространства самого пласта.
УРОВЕНЬ ПОДЗЕМНЫХ ВОД — превышение свободной или пьезометрической поверхности подземных иод в данной точке по отношению к любой плоскости сравнения (например, по отношению к уровню моря). Уровень может быть установившимся или неустановившимся.
УРОВНЕМЕР — прибор, показывающий положение уровня воды в склажипе или другой горной выработке.
УСАДКА — уменьшение объема горной породы при высыхании и промерзании. Уменьшение объема глин при высыхании происходит только до определенной величины влажности, называемой пределом усадки. У. можно характеризовать: I) уменьшенном объема пли длины высыхающего образца (объемная и линейная усадка) и 2) влажностью при пределе усадки. Влажность при пределе усадки перемятых, насыщенных водой образцов характеризует. минимальную пористость глинистого образца, соответствующую максимальному значению его объемного веса (6d). Наиболее пластичные и наиболее способ ные к набуханию глинистые породы дают наибольшую усадку.
УСТАНОВИВШЕЕСЯ ДВИЖЕНИЕ ПОДЗЕМНЫХ ВОД - движение, при котором поток сохраняет неизменными все свои элементы: расход, направление, скорость, поперечное сечение и напорный градиент.
УСТРАНИМАЯ ЖЕСТКОСТЬ ВОДЫ — см. Жесткость воды.
УСТЬЕ СКВАЖИНЫ — место пересечения скважиной земной поверхности.
Ф
ФАБРИКА ПОДЗЕМНЫХ ВОД — совокупность технических мероприятий наземных (снегозадержание, водо-отводящие канавы, взрыхление покровных отложений и др.) и подземных (плотины, поглощающие колодцы и др.), направленных на сбор поверхностных вод и атмосферных осадков и отвод их в толщу литосферы (в водопроницаемые горные породы).
ФИЗИКО-ХИМИЧЕСКИЕ СВОЙСТВА ВОДЫ — параметры, определяющие физико-химические особенности природных вод. К ним относятся показатели концентрации водородных ионов (рН) и окислительно-восстановительный потенциал (Eh).
ФИЗИЧЕСКИЕ СВОЙСТВА ВОДЫ — удельный вес, тем пература, прозрачность, цвет, мутность, запах, вкус, электропроводность и др.
ФИЛЬТРАЦИОННЫЕ ПОТЕРИ ИЗ ВОДОХРАНИЛИЩА — разность между величиной грунтового питания реки до устройства водохранилища и после.
ФИЛЬТРАЦИЯ — движение жидкости в пористой среде.
ФИЛЬТРОВЫЕ СЕТКИ — прочные плетеные (иногда штампованные) сетки, служащие фильтрующим покрытием в фильтрах трубчатых колодцев. с. — задерживать частицы водоносной породы при поступлении воды в колодец. Ф. с. изготовляют из луженой меди, латуни, фосфоритистой бронзы, нержавеющей стали и других материалов. С целью замены металлических Ф. с. менее дефицитными антикоррозийными начато производство Ф. с. из пластических масс и стеклянного волокна.
ФИЛЬТРЫ СКВАЖИН — особые устройства, предназначенные для за крепления стенок водоприемной части скважины в рыхлых водоносных породах. Ф. с. предохраняют стенки водоприемной части скважин от обрушения, не пропускают частицы водоносной породы внутрь скважины, но в то же время свободно пропускают в нее воду. Ф. с. помещаются в нижней, водоприемной, части эксплуатационной колонны труб и состоят из трех основных частей: рабочей части, отстойника и надфильтровой трубы.
ФОНТАНИРУЮЩИЕ СКВАЖИНЫ - самоизливающие скважины. (Приблизительный синоним.)
ФОНТАННАЯ ЭКСПЛУАТАЦИЯ — в нефтяной гидрогеологии — способ эксплуатации нефтеносных пластов, при котором нефть изливается из скважины на поверхность только за счет пластовой энергии или пластовой энергии, восполняемой извне путем поддержания в залежи пластового давления нагнетанием воды за контур нефтеносности или газа в газовую шапку.
ФОРМАЦИЯ (по ) — в инженерной геологии — классификационное подразделение, объединяющее инженерно-геологические группы пород (см.) и геолого-генетические комплексы (см.) и характеризующее основные особенности их химико-минералогического состава, структуры и текстуры.
ФОРМИРОВАНИЕ ПОДЗЕМНЫХ ВОД — относительный синоним термина генезис (происхождение) подземных вод. п. в. следует понимать совокупность генетических процессов (экзогенных и эндогенных), проявление которых в определенной геологической обстановке приводит к образованию подземных вод определенного типа.
ФОРМУЛА КУРЛОВА — прием наглядного изображения в одной формуле основных свойств химического состава воды. В этой формуле в числителе дроби пишут анионы, в знаменателе — катионы, присутствующие в количестве более 10% же (из расчета, что анионы и катионы доставляют по 100%). Внизу к символу иона приписывают содержание его в % же. Впереди дроби сокращенно указывают величину минерализации (М) в г/л и недиссо-циированные части или газы, если они придают воде специфические свойства (GO», HaS, радиоактивность), а в конце дроби — температуру и добит л м3/сутки. Например
![]()
ФРАНЦУЗСКИЙ ГРАДУС ЖЕСТКОСТИ — см. Жесткость воды.
ФРЕАТИЧЕСКИЕ ВОДЫ — колодезные поды. Термин «фреатичсские воды» предложен Добре в 1887 г. В гидрогеологии он употребляется часто, но в разных значениях, в большинстве случаев как синоним термина «грунтовые воды». Мейнцер рекомендует этот термин в качестве международного. называет Ф. в. все капельножидкие подлемные воды независимо от того, грунтовые они или мекпластовые, безнапорные или напорные, которые могут быть использованы при помощи колодцев. Термин «фреатические воды» следует употреблять в значении, предложенном .
ФУМАРОЛЫ — выходы горючего вулканического газа в виде струек и спокойно парящих масс из трещин на поверхности вулкана или недавно образовавшихся лавовых потоков и иокроьон. В зависимости от местоположения и источника питания Ф. подразделяются на первичные (постоянные) и вторичные (временные). связаны с жерлом действующего вулкана и располагаются на дне и внутренних стенках кратера, а также на внешнем склоне, но обычно недалеко от кратера. наблюдаются только на поверхности лавовых потоков. К вторичным относятся также Ф., образующиеся на мощном покрове только что отложенного рыхлого вулканического материала.
Деятельность фумарол сопровождается выделением из жерла побочных кратеров и многочисленных трещин водяного пара и различных газов. Среди последних преобладают H2S, SO5, СO2, СО, В, Н, О, No, Ar, Cl, F. Температура газов высокая (до 700°). Во всех струях преобладают пары воды, которые составляют 60 — 99,9% общего объема выделений. В вулканических районах выделение паров и газов достигает иногда грандиозных размеров. Так, в долине «Десятки тысяч дымов» на Аляске вырываются в воздух миллионы кубических метров паров и газовых струй, доставляющих на поверхность 23 млн. л/сек пара при температуре 600°. Вместе с парами воды здесь выходит в воздух в течение года 1250 тыс. m HC1 и 200 тыс. т И Р. По химическим особенностям среди фумарольных терм выделяются воды трех типов: кислотно-сульфатные, кислотно-сульфатно-хлоридные или хло-ридно-сульфатные и щелочно-хлоридно-натриевые.
X
ХАКИ (каки) — мелкие бессточные водоемы с соленой водой и грязями. Термин является местным названием в Прикаспийской низменности.
ХАРАКТЕРИСТИКА ВОД ПО ПАЛЬМЕРУ — изображение химического состава вод в виде процентов-эквивалентов определенных групп ионов от общей их суммы. По Пальмеру выделяют: 1) первую соленость (S1), обусловленную сильными щелочами (Na, К, NH) и сильными кислотами (Cl, S04, I, Br, No3 ); 2) вторую соленость (S2) — сильные кислоты и слабые основания (Са, Mg); 3) третью соленость (S3) — сильные кис-поты и тяжелые металлы (Fе+2, Fе+3, Аl+3); при наличии этих солей воды вследствие гидролиза приобретают кислую реакцию; 4) первую щелочность (А1), обусловленную сильными основаниями и слабыми кислотами (НСО,
СO3 , Вr4O7); 5) вторую щелочность (A2) — слабые основания (Mg, Са) и слабые кислоты; 6) третью щелочность (A3) — тяжелые металлы (Fе+2, Fе+3, Al+3) и слабые кислоты.
По классификации Пальмера выделяют пять классов вод: I класс характеризуется наличием AJ (щелочные воды, лишенные S2), II класс — отсутствием А1 и А3, III класс — наличием S2 и отсутствием А2, IV класс — отсутствием A1 и А2, V класс — наличием S3.
Классификация вод по Пальмеру явно недостаточна и не получила широкого распространения. ХАУЗ — в Ср. Азии искусственный водоем для хранения запаса воды на период прекращения подачи воды по каналам. X. бывают проточного и ковшового типа, земляные, каменные, кирпичные, бетонные и железобетонные.
X. проточного типа устраивают при каналах с небольшой мутностью воды; они работают по принципу непрерывно действующего отстойника. X. ковшового типа строятся непосредственно у канала и работают как периодически действующие отстойники. Полезная емкость и число X. зависят от размера водопотребления (населенного пункта, полевого стана, животноводческой фермы) и от максимального периода закрытия канала.
ХЕМОСОРБЦИЯ — процесс адсорбции, при котором частицы адсорбируемого вещества и частицы поглотителя взаимодействуют химически.
ХИМИЧЕСКИ СВЯЗАННАЯ ВОДА — вода, содержащаяся в кристаллической решетке минералов. надский (1937 г.) различает химически связанные воды следующих видов: 1) конституционную, наиболее прочно связанную с кристаллической решеткой минерала и выделяющуюся скачкообразно лишь при очень высоких и притом вполне определенных для каждого минерала температурах (несколько сотен градусов); выделяется в количествах, строго определенных для каждого минерала; 2) кристаллизационную, менее прочно связанную с кристаллической решоткой минерала и выделяющуюся скачкообразно при более низких, также вполне определенных для каждого минерала температурах; 3) цеолит-ную, связанную с минералом наименее прочно и выделяющуюся непрерывно по мере нагревания минерала при более низких и неопределенных температурах; часть цеолитмой воды выделяется при температуре ниже 100°.
ХИМИЧЕСКОЕ ВЫВЕТРИВАНИЕ — процесс разрушения горных пород под влиянием химического действия грунтовых вод, атмосферных агентов и пр.; сопровождается растворением, выщелачиванием и изменением химического состава пород. Например, полевые шпаты при химическом выветривании превращаются в глину.
ХЛОРКАЛЬЦИЕВЫЙ ТИП ВОД (по ) — природные воды, имеющие соотношения
![]()
Воды хлоркальциевого типа характерны для глубоких частей крупных депрессий (синеклиз, предгорных прогибов в т. о,) ц для многих нефтяных месторождений.
ХЛОРМАГНИЕВЫЙ ТИП ВОД (по ) — природные воды, имеющие соотношения
![]()
Воды хлормапшевого типа отвечают морской обстановке существования и формирования вод.
ХЛОРНЫЙ КОЭФФИЦИЕНТ — отношение количества солей, содержащихся в природной воде, к содержанию хлора.
ХОЗЯЙСТВЕННО-ПИТЬЕВЫЕ ВОДЫ — природные воды, используемые для питьевого и хозяйственного водоснаб жепия.
Ц
ЦЕМЕНТАЦИЯ ГОРНЫХ ПОРОД - способ повышения монолитности и уменьшения водопроницаемости трещиноватых горных пород путем нагнетания в них через систему скважин цементного раствора.
ЦЕМЕНТАЦИЯ СКВАЖИНЫ — способ предотвращения сообщения подземных вод различных водоносных горизонтов по затрубному пространству или через ствол скважины. Ц. с. производится путем нагнетания специальных, быстро схватывающихся цементов под большим напором в затрубное пространство.
ЦЕНТРАЛЬНАЯ СКВАЖИНА — опытная скважина, из которой производится откачка при наличии наблюдательных скважин (опытный куст скважин). В отличие от наблюдательных Ц. с. имеет обычно больший диаметр, оборудована насосом, фильтром, емкостью для замера количества откачиваемой воды, водоотводным устройством (трубопроводом, лотком) и т. д.
ЦЕОЛИТНАЯ (гидратная) ВОДА — часть кристаллизационной воды, которая может выделяться и вновь поглощаться без разрушения кристаллической решетки минерала (см. Вода в минералах). Прямое удаление Ц. в. частично можмт быть осуществлено без нагревания в среде с малой упругостью водяных паров. При нагревании Ц. в. выделяется постепенно, в большом интервале температур, беа нарушения физической однородности вещественного состава, по с изменением всех физических свойств минерала (прозрачности, показателя преломления и т. д.). Ц. в. выделяется из минерала с поглощением тепла, но так как это происходит в большом интервале температур, то соответствующий эндотермический эффект на кривых нагревания не типичен и не может служить диагностическим признаком для распознавания природы минералов. На кривых нагревания он обычно накладывается на соответствующие эффекты, связанные с выделением конституционной и кристаллизационной воды, сопровождающиеся разрушением кристаллической решетки. И химических анализах Ц. в. включается в обозначение Н20.
ЦИРК ОПОЛЗНЕВЫЙ — см. Оползневый цирк.
Ч
ЧАСТИЧНО СВЯЗАННЫЕ (молекулярные, адгерентные) ВОДЫ — подземные воды, которые молекулярно тесно связаны с породой и не могут быть извлечены обычными катажными сооружениями и приборами.
ЧАСТОТА ХИМИЧЕСКИХ ЭЛЕМЕНТОВ — см. Кларки.
ЧЕТОЧНАЯ ВОДА (по Коссовичу) — вода, находящаяся в капиллярных трубках с сужениями и расширениями или заключенная между гофрированными пластинками. В пустотах горных пород Ч. в. могут удерживаться в более высоких колонках, чем обычные капиллярные воды.
ЧИСЛО ПЛАСТИЧНОСТИ ГРУНТОВ - см. Пластичность глинистых пород.
Ш
ШАХТНЫЕ (рудничные) ВОДЫ — подземные (иногда поверхностные) воды, проникающие в горные выработки и оказывающие определенное влияние на условия вскрыши и эксплуатации месторождения. Ш. в. горных выработок, вскрывающих сульфидные рудные тела и угольные пласты, обогащенные пиритом, часто имеют низкий рБ и высокое содержание сульфат-иона, а также железа и других металлов. в. интенсивно корродируют водоотливные сооружения (установки).
ШУРФ (дудка) — вертикальная или наклонная подзем ная выработка (обычно малого сечения и небольшой глубины), имеющая непосредственный выход на земную поверхность и предназначенная для разведки полезных ископаемых, вскрытия и опробования вод и т. п.
Щ
ЩЕЛОЧНОСТЬ ВОДЫ — свойство, обусловленное нали чием анионов слабых кислот, главным образом угольной кислоты. Эти анионы гидролизуются с образованием гидроксил-ионов, например:
![]()
(по ) - пары CNH3 в стратисфере и магматической оболочке.
Э
ЭКВИВАЛЕНТНАЯ ФОРМА ВЫРАЖЕНИЯ АНАЛИЗА ВОДЫ — выражение анализа воды в эквивалентных единицах путем деления найденного анализом веса ионов на соответствующий эквивалентный вес. Например:
|
Дано |
Соответствующее число эквивалентных единиц |
|
325 мг Na + |
325/23=14,130 |
|
351 мг Са + + |
35,2/20,04 = 1,756 |
|
234 мг CI — |
234/35,45 = 6,601 |
|
28 мк SО4 — |
28,2/48,08 =0,585 |
На практике обыкновенно пользуются пересчетными коэффициентами, на которые умножают вес соответствующих ионов. Эти коэффициенты аолучают следующим образом.
|
Элемент, для которого вычисляется пересчетный коэффициент |
Пересчетный коэффициент |
|
Na+ |
1/23 = 0,0435 |
|
Са++ |
2/40,07=0,0499 |
|
Cl — |
1/35,45 = 0,0282 |
|
SO4 — |
2/96 =0,0208 |
Если данные анализа выражены в миллиграммах, то полученные результаты в эквивалентной форме называют миллиграмм-эквивалентами.
ЭКВИВАЛЕНТНЫЙ (приведенный) КОЭФФИЦИЕНТ ФИЛЬТРАЦИИ (по ) — средний коэффициент фильтрации слоистой водоносной толщи при движении воды по напластованию.
ЭКВИПОТЕНЦИАЛИ (линии равных напоров) — линии, перпендикулярные к линиям токов. Проекции этих линий на горизонтальную плоскость называются гидроизогип-сами (если водоносный горизонт имеет свободную поверхность) или гидроизопьезами (если воды напорные).
ЭКВИПОТЕНЦИАЛЬНАЯ ПОВЕРХНОСТЬ — поверх ность равных напоров.
ЭЛЕКТРО-ГИДРОДИНАМИЧЕСКАЯ АНАЛОГИЯ (ЭГДА) — аналогия, существующая между установившимся движением грунтовых вод и движением электрического тока, описываемых при помощи дифференциальных уравнений одного и того же вида. Эта аналогия была использована (1918 г.) для экспериментального решения ряда задач, встречающихся при изучении потоков грунтовых вод. Метод ЭГДА применяется в гидрогеологии для моделирования двухмерных задач фильтрации (подпор подземных вод, приток воды к водо заборам и водопонизительным установкам, фильтрация в обход плотин, расчеты дренажа и пр.).
ЭЛЕКТРООСМОС — 1. Движение жидкости через диафрагму (полупроницаемую перегородку) при пропускании постоянного тока через эту жидкость. 2. Движение воды в грунтах под влиянием постоянного электрического тока, вызывающего осушение грунта в зоне вокруг поло жительного электрода и скопление воды у отрицательного электрода. лежат в основе электродренажа при проходке карьеров, строительных котлованов и других выработок в обводненных грунтах, характеризую ни хся слабой водоотдачей.
ЭЛЕКТРОФОРЕЗ (катафорев) — движение взвешенных в жидкости или газообразной среде жидких или газообразных частиц под влиянием приложенного извне электрического напряжения к противоположно заряженным электродам. Наблюдается в грунтах при электродренаже.
ЭЛЕКТРОХИМИЧЕСКАЯ КОРРОЗИЯ — коррозия под действием электролита, при которой ионы металла переходят в раствор и происходит перенос электронов к другим участкам поверхности металла. Основным условием для Э. к. является наличие электролита. Э. к. часто наблюдается в металлических частях водозаборных сооружений (например, в фильтрах водозаборных скважин).
ЭМАН — единица измерения количества эманации радия в 1 л воды, равная 1 х 10~10 кюри /л = 0,275 единиц Махе (см.).
ЭРЛИФТ — устройство для подъема жидкости при по мощи сжатого воздуха. Применяется главным образом для извлечения нефти и воды из скважин на поверхность земли.
ЭТАЖИ ВОДОНОСНЫХ ПОРОД — отдельные части или слои водоносной породы, не полностью разделенные выклинивающимися водоупорными слоями или линзами, в обход которых осуществляется гидравлическая связь между водоносными частями породы. Э. в. п. имеют общую пьезометрическую поверхность, поэтому откачка из одного этажа вызывает понижение уровня во всех вышележащих этажах. Э. в. п. называются также ярусами водоносных пород. Иногда этажи выделяют по стратиграфическому принципу (палеозойский, мезозойский, кайнозойский и др.).
ЭФФЕКТИВНЫЙ ДИАМЕТР ЗЕРНА ПОРОДЫ — см. Кривая вранулометрического состава.
ЭФФЕКТИВНАЯ ПРОНИЦАЕМОСТЬ — проницаемость пористой среды для какой-либо жидкости или газа при одновременном наличии в породе смеси их (газ — нерть, пода — нефть, газ — нефть — вода). Э. п. породы для данной жидкости или газа зависит от степени насыщенности пор породы этой жидкостью или газом.
Ю
ЮВЕНИЛЬНЫЕ ВОДЫ (по Э. Зюссу) — воды, образующиеся из паров, и, возможно, из диссоциированных атомов Н и О на больших глубинах. Начало этим водам даюг либо газовые магматические выделения, либо га вода, которая в качестве кристаллизационной или конституционной воды входит в состав гак называемых гич-ратных минералов. 10 в. в чистом виде на земную поверхность не вытекают.
11 — 5 — 5
СЛОВАРЬ
ПО ГИДРОГЕОЛОГИИ И ИНЖЕНЕРНОЙ ГЕОЛОГИИ
Ведущий редактор
Технический редактор
Mi. Столярова
Подписано к набору 20/X 1960 г.
Подписано к печати 30/1 1961 г.
Формат 70x901/32- Физ. печ. л. 5.88.
Уел, печ. л. 6,82. Уч.-изд. л. 9.27.
Т-00423. Тиражэкз.
Зак. 983/343. Цена 56 коп.
Гостоптехиздат. Моснва, К-12. Третьяковский пр.. 1/19.
Тип. «Красный Печатник», Ленинград. Московский проспект. 91.
ОПЕЧАТКИ
«Словарь по гидрогеологии и инженерной геологии»
|
Страница |
Строка |
Напечатано |
Следует читать |
|
102 |
Таблица, 1-я колонка справа, 1-я строка снизу |
n*10-6 |
n*10-3 |
|
105 |
6 и 7 снизу |
равный 1 aт |
в 1/am |
|
108 |
4 снизу |
d10 = 050 |
d60 = 0,50 |
|
119 |
Таблица, 2-я колонка справа, 1-я строка снизу |
(3,61 эман) |
(>36,4 эман) |
|
142 |
15 снизу |
|
|
OCR Pirat
|
Из за большого объема эта статья размещена на нескольких страницах:
1 2 3 4 5 6 7 |


