Доходный подход к оценке стоимости аренды
Автор
01.03.2001
В статье формализуется задача управления стоимостью недвижимости при условии возможности сдачи ее в аренду. Исследуется проблема распределения прав на объект недвижимости между арендатором и арендодателем в случае заключения договора аренды. Через дисконтирование выгод определяется инвестиционная стоимость свободной от обременения недвижимости, стоимость прав арендатора и арендодателя. Инвестиционные стоимости рассчитываются с учетом индивидуальных рисков каждой из сторон договора. Выводится формула рыночной и ликвидационной стоимости прав свободной и арендованной недвижимости.
I. Постановка задачи
Подавляющая часть национального богатства России сосредоточена в недвижимости, отсюда напрямую вытекает особое положение управления недвижимостью в общей процедуре управления. Управление объектом недвижимости с финансовой точки зрения в подавляющем большинстве случаев сводится к принятию решений, базирующихся на его стоимости. В большинстве случаев такая оценка, получаемая на основе трех, хорошо известных подходов: затратного, сравнительного и доходного, ограничивается лишь определением рыночной стоимости объекта, при этом лишь вскользь упоминается и никогда не дается количественная оценка присущих оцениваемому объекту ограничений, например, аренды, залога, лизинга и т. д.
Управление объектом недвижимости на основе стоимости не ограничивается лишь принятием менеджментом решений о целесообразности ее реконструкции, приобретения, продажи или передачи в залог, то с практической точки зрения было бы полезно взглянуть на недвижимость с позиции аренды.
Опыт хозяйственной деятельности России показывает, что у юридических лиц на аренду приходится достаточно значительный объем всех операций с недвижимостью. Одна из основных причин этого - отсутствие достаточных денежных средств для ее приобретения в собственность и последующего содержания.
В статье предлагается модель определения стоимости объектов недвижимости, сданных или полученных в аренду, которая позволяет количественно описать все выгоды и потери, вытекающие из договоров аренды.
II. Общие критерии управления стоимостью недвижимости
Прежде чем непосредственно перейти к рассмотрению модели необходимо остановиться на некоторых правовых аспектах аренды.
Главным законодательным актом, регулирующим вопросы аренды, был и остается Гражданский Кодекс. В статье 606 главы 34 части 2 говорится, что при сдаче чего-либо в аренду собственник или лицо, имеющее право на совершение такой операции, одновременно с заключением договора передает арендатору во временное пользование за плату имущество и сопровождающий его набор прав. Поскольку, к примеру, собственник обладает правами распоряжения, владения и пользования, то он может передать арендатору лишь права из этого ограниченного набора. Гражданский Кодекс говорит, что арендатору могут быть переданы права пользования и владения или же только пользования. Делегируя некоторые из своих прав, собственник их не теряет, они лишь в разной степени ограничиваются фактом наличия аренды.
Оценка рыночной стоимости недвижимости есть ни что иное, как оценка всей совокупности прав собственности на нее, в правовом аспекте ничем не ограниченных. В случае аренды как минимум одно или два права ограничены и, следовательно, теперь у арендодателя будет оцениваться право собственности на сданный в аренду объект с учетом ограничений. Таким образом, должна определяться не рыночная стоимость в чистом виде, а рыночная стоимость при существующем использовании (сдаче в аренду).
У арендатора будут оцениваться права, переданные ему по договору аренды: права владения и пользования или только пользования. Стоимость этих прав может быть определена через ту выгоду, которую имеет арендатор от аренды недвижимости. В зависимости о того, какой доход берется за основу расчета выгоды - среднерыночный или данного конкретного инвестора, речь идет либо о рыночной, либо об инвестиционной стоимости.
Предлагаемая модель может быть использована для определения стоимости аренды недвижимости арендодателем или арендатором при проведении оценки бизнеса методом чистых активов, а так же при принятии решения о предпочтении аренды приобретению объекта в собственность или о сдаче его в аренду в противовес продаже. Выше приведены наиболее общие примеры использования модели, которые далеко не исчерпывают всех, решаемых менеджментом задач по управлению объектом недвижимости.
На сегодняшний день, не существует хорошо проработанного и методически обоснованного подхода к оценке прав аренды. Различные публикации по оценке бизнеса и недвижимости практически не затрагивают этой темы.
Общую идею оценки стоимости аренды можно найти в книгах по оценке недвижимости и бизнеса таких известных авторов как Дж. Фридмана и Н. Ордуэя, Пратта, однако вопрос о соотнесении стоимости с правами, приобретаемыми на объект арендатором и арендодателем, остается за рамками рассмотрения.
Основная задача настоящей статьи - это расширить понимание оценки стоимости аренды за счет большей формализации модели. В основу модели положен доходный подход, базирующийся на потоках денежных средств, возникающих вследствие заключения договора аренды арендатором и арендодателем.
Для начала перечислим ситуации, связанные с недвижимостью для арендодателя:
i. арендодатель продолжает прежнее использование недвижимости в соответствии со своими целями и не сдает ее аренду;
ii. арендодатель сдает объект недвижимости в аренду;
iii. арендодатель продает объект недвижимости.
Ситуации для арендатора таковы:
i. арендатор приобретает недвижимость в собственность;
ii. арендатор берет недвижимость в аренду.
Чтобы упростить задачу предположим, что ситуация на рынке недвижимости не претерпит существенных изменений, могущих повлиять на рыночную стоимость объекта недвижимости, и его физическое состояние за время действия договора аренды не изменится. Иными словами, рыночная и инвестиционная стоимость недвижимости (свободной от обременения) в начале срока договора не будет отличаться от ее стоимости по его окончании.
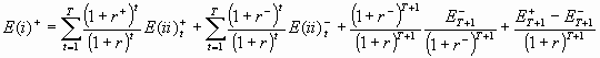
С учетом перечисленных ситуаций решение, принимаемое арендодателем, в любой момент времени формализуется следующим образом
(1)
где:
E- - стоимость объекта недвижимости в результате принятого решения; (надстрочный символ суммы или разности отражает то, к чему относится параметр - к арендодателю (минус) или арендатору (плюс));
E(i)- - стоимость недвижимости в условии продолжения текущего использования недвижимости (инвестиционная стоимость);
E(ii)- - стоимость аренды недвижимости;
E(iii)- - ликвидационная стоимость недвижимости.
Аналогично для арендатора можно записать:
(2)
где:
E+ - стоимость объекта недвижимости в результате принятого решения;
E(i)+ - стоимость недвижимости в условии приобретения недвижимости в собственность (инвестиционная стоимость);
E(ii)+ - стоимость аренды недвижимости;
Выражения (1) и (2) можно интерпретировать, как приращение стоимости бизнеса в случае использования объекта недвижимости в производственном цикле.
Определим последовательно все стоимости, перечисленные в (1) и (2), и затем выведем критерий принятия решения по управлению объектом недвижимости с учетом возможности сдачи его в аренду.
III. Инвестиционная стоимость
Определим инвестиционные стоимости для арендодателя E(i)- (предполагается, что договор не может быть расторгнут до срока его окончания).
(3)
где:
E(i)- - инвестиционная стоимость сданной в аренду недвижимости для арендодателя;
E(i)-t - инвестиционная стоимость сданной в аренду недвижимости для арендодателя в период t;
E-Т+1 - стоимость сданного в аренду объекта недвижимости после окончания срока действия договора (1);
I-t - доходы, генерируемые недвижимостью, в период t для арендатора;
Ct - затраты, связанные с владением недвижимостью (считается, что затраты по владению имущества для арендатора и арендодателя одинаковы);
r - риски, связанные с владение недвижимостью.
Для арендатора инвестиционная стоимость будет равна:
(4)
где:
E(i)+ - стоимость недвижимости в случае ее приобретения арендатором в собственность;
E(i)+t стоимость недвижимости в период t в случае ее приобретения арендатором в собственность;
E+T+1 - стоимость объекта недвижимости в период T+1 (2);
I-t - доходы, генерируемые недвижимостью, в период t для арендатора.
IV. Стоимость прав аренды
Далее рассчитаем стоимости недвижимости для арендатора и арендодателя в случае заключения договора аренды.
(5)
где:
E(ii)- - стоимость аренды для арендодателя;
E(ii)-t - стоимость аренды для арендодателя в период t;
Rt - уплачиваемая арендная плата по договору аренды;
C-t - затраты арендодателя по договору аренды;
T - срок аренды;
r - - ставка дисконтирования, учитывающая риски арендодателя.
По договору аренды арендодатель в период t получает арендную плату Rt и несет все или часть расходов по содержанию объекта, оплате коммунальных услуг и налогов C-t, если, конечно, иное не установлено договором. Иными словами, выгоды арендодателя от владения недвижимостью в условиях аренды будут складываться из потоков арендных платежей, уменьшенных на величину связанных с содержанием объекта расходов. Если теперь получаемые за время действия договора выгоды и стоимость недвижимости в отсутствие ограничений на дату окончания действия договора привести по рисковой ставке арендодателя r - к дате оценки, будет получена стоимость прав аренды арендода
Стоимость аренды для арендатора определяется по следующей формуле:
(6)
где:
E(ii)+ - стоимость взятой в аренду недвижимости для арендатора;
E(ii)+t - стоимость взятой в аренду недвижимости для арендатора в период t;
I+t - доходы, генерируемые недвижимостью, в период t для арендодателя;
C+t - затраты арендатора в соответствии с договором аренды;
r+ - ставка дисконтирования, учитывающая риски арендатора.
За арендованную недвижимость он уплачивает арендную плату Rt и, возможно, в зависимости от условий договора, несет затраты по ее содержанию C+t, при условии, если такие затраты не включены договором в сумму арендного платежа и выделены в отдельную статью расходов. Таким образом, арендатор имеет выгоду от использования недвижимости, когда уплачиваемые им платежи за аренду и коммунальные услуги оказываются меньше доходов от использования недвижимости I+. Если эту разницу привести к дате оценки с посредством ставки дисконтирования r+, то получится стоимость прав аренды E+ (стоимость права временного владения или пользования или только пользования (ГК РФ ч.2 гл.34 ст.606)), который владеет арендатор (6).
Полученная стоимость, как правило, включается оценщиками в общую величину гудвилла и отдельно не учитывается, что может лишить менеджмент весьма ценной информации.
Совокупные затраты по аренде недвижимости Сt вычисляются как сумма затрат арендатора и арендодателя Ct=C-t+C+t, и, в общем случае, мало отличаются от затрат, которые несет собственник при ее использовании в собственных интересах, происходит лишь их перераспределение.
Рассмотрим задачу соотношения стоимостей недвижимости, свободной от обременения со стоимостями для арендатора и арендодателя имеем (7) (вывод в Приложении\\idmsrv\www\*****\ïåðåíåñåíî\Ðàçäåë Ìåòîäèêè\äëÿ ðàçìåùåíèÿ íà ñàéòå\met17.htm - pril).
(7)
Как видно из (7) в случае равенства оценки рисков от свободной недвижимости, рискам арендодателя и арендатора и равенства оценки ее стоимости в период по окончании действия договора T+1, стоимость недвижимости при приобретении ее арендатором в собственность будет в точности равна сумме стоимостей прав арендатора и арендодателя, что и записывается формулой.
(8)
Такое совпадение скорее случайность, чем закономерность. В общем же случае стоимость недвижимости может как превышать суммарную ее стоимость для арендатора и арендодателя в случае недооценки последними рисков, связанных с арендой, так и быть меньше ее в случае переоценки рисков. Направление смещение стоимостей установить достаточно трудно еще и потому, что, например, арендодатель может считать, что сдав недвижимость в аренду он избавляется от части рисков, связанных с ее использованием и распоряжением, поскольку арендатор в силу каких-либо своих возможностей способен лучше справиться с этой задачей. И обратно, беря объект в аренду арендатор будет стремиться выжить из него все соки, что не может в конечном итоге не сказаться на стоимости недвижимости.
Проведем рассуждения, аналогичные (7) для арендодателя получаем (9) (вывод в Приложении):
(9)
Предположив равенство рисков в (9) получим первое равенство, а воспользовавшись (8) будет:
(10)
Выражение (9) лишний раз подтверждает вывод о том, что для повышения эффективности экономической системы в целом смена собственника недвижимости должна происходить в случае превышения дохода, получаемого новым собственником, над доходом настоящего владельца недвижимостью. К сожалению, поскольку цели различных собственников в рыночных условиях согласованы лишь частично, то разумной альтернативой смены собственника можно считать аренду. В последнем случае происходит повышение суммарной стоимости недвижимости и как следствие увеличение величины национального богатства страны за счет частичного перераспределения прав на недвижимость.
Из сказанного вытекает, что при сдаче в аренду может наблюдаться как эффект синергии, так и уменьшение стоимости. О синергии следует говорить, когда использование арендатором недвижимости приносит больше выгод при прочих равных в сравнении с рыночными ставками аренды.
Для арендодателя риски, закладываемые в ставку дисконтирования, могут быть результатом ненадлежащей эксплуатации недвижимости арендатором, возможной задержки или отказа от уплаты арендных платежей, досрочного расторжения договора, изменения в будущем величин арендных ставок и т. д.
У арендатора основные риски - это досрочное расторжение договора арендодателем и изменение ставок аренды.
V. Рыночная и ликвидационная стоимость свободной недвижимости и прав аренды
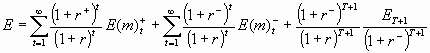
Если теперь заменить в (7) и в (9) доходы, получаемые инвесторами на рыночные арендные ставки, то (7) и (9) становятся идентичными и можно получить распределение рыночной стоимости прав на недвижимость между арендатором и арендодателем
(11)
где:
E - рыночная стоимость недвижимости;
E(m)+t - рыночная стоимость арендованной недвижимости в период t;
E(m)-t - рыночная стоимость сданной в аренду недвижимости в период t;
Из (11) видно, что совпадение рыночной стоимости с суммой рыночных оценок стоимостей прав аренды для арендатора и арендодателя, так же случайно.
Определим ликвидационную стоимость объекта недвижимости
(12)
E(iii)- - ликвидационная стоимость недвижимости в условии отсутствия всех ограничений;
C - расходы на ликвидацию от доли рыночной стоимости.
Оценив стоимости недвижимости для различных вариантов развития события по формулам (3), (5) и (12) и воспользовавшись (1) владелец недвижимости может принять решение о пути ее дальнейшего использования и тем самым максимизировать стоимость своего бизнеса.
Аналогично арендатор максимизируя стоимость своего бизнеса, и приняв во внимание (4), (6) и (2), может решить покупать или арендовать объект недвижимость.
VI. Заключение
Используемые на практике модели оценки арендованной или сданной в аренду недвижимости либо совсем не учитывают пререраспределения объема прав на недвижимость либо полностью игнорируют факт использования недвижимости в хозяйственной деятельности. Оценка недвижимости на основе доходного подхода избавлена от этого недостатка, так как учитывает выгоды от использования арендованной недвижимости или потери от сдачи помещений в аренду.
Предлагаемый метод оценки аренды полезен не только при определении цены методом чистых активов в сделках купли-продажи бизнеса, но и при принятии решения о продолжении производства или реструктуризации отдельных направлений деятельности предприятия или всего его целиком, которое так же должно сопровождаться всесторонней оценкой, в том числе, и аренды.
Недооценка отдельных активов организации может привести, в конечном итоге, к некорректным выводам об отказе от выпуска определенной продукции или закрытии целых направлений деятельности, использующих арендованные средства.
Настоящее исследование носит больше теоретический характер, и в дальнейшем параметры модели могут уточняться с учетом характера конкретной ситуации, возникающей в практике управления недвижимостью, с сохранением общей идеи неизменной. Метод может получить развитие за счет более детальной проработки возможных условий и вариантов договоров аренды с построением более полной математической модели денежных потоков. Особое внимание, при этом, может быть обращено на учет и оценку рисков в ставке дисконта, присутствующих при аренде недвижимости, как у той, так и у другой стороны договора аренды.
ЕГЕРЕВ Игорь Александрович,
начальник отдела оценки имущества
"Агентство по реструктуризации кредитных организаций (АРКО)"
e-mail: igre@mail.ru, egerev@gk-arco.ru
Опубликована: 1998 г.
Редакция: март 2001 г.
Список литературы
1. Гражданский кодекс Российской Федерации (Часть 2) № 14-ФЗ от 01.01.2001 г.
2. Ш. Пратт. "Оценка бизнеса: анализ и оценка компаний закрытого типа", 1995 г.
3. Джек Фридман, Николас Ордуэй. Анализ и оценка приносящей доход недвижимости. Income property appraisal and analysis. Дело Лтд., Москва, 1995 год.
4. . Оценка стоимости лизинга. Рынок ценных бумаг 2000, № 17.
5. . Некоторые вопросы применения ставки дисконта в оценке бизнеса. Вопросы оценки 2000, № 2.
Приложение
Утверждение 7
Доказательство 7.
Проведя преобразования (4):
![]()

И подставляя (5) и (6) получаем:
.Утверждение 9
Доказательство 9
Проведя преобразования (3)
![]()

и подставляя (5) и (6) получаем:



