ИССЛЕДОВАНИЕ РЕЛЬЕФА ПОВЕРХНОСТИ МЕТОДАМИ ЗОНДОВОЙ МИКРОСКОПИИ
Материал подготовил доцент кафедры
физической электроники
Как уже указывалось, основными методами наблюдения нанообъектов являются два метода – сканирующая зондовая микроскопия и сканирующая электронная микроскопия. Возможность высокого разрешения обоих методов определяется тем, что используется сверхтонкий механический или электронный зонд, и он последовательно перемещается по всей исследуемой поверхности и изучает ее микрорельеф. Наивысшим достижением приборов зондовой микроскопии является возможность наблюдения упорядоченного атомного строения вещества, возможность непосредственно увидеть его кристаллическую решетку (рис. 1). Видны отдельные атомы с их реальным размером в несколько нм. Еще совсем недавно такие результаты казались фантастическими и для доказательства существования кристаллической решетки использовали не такие прямые методы наблюдения, а косвенные методы, например, изучали дифракцию рентгеновских лучей.
Рис. 1. Изображение поверхности скола (111) монокристалла висмута
Несколько слов об истории вопроса. Сканирующей зондовой микроскопии еще нет 30 лет, это очень молодое направление современной техники, как и вся нанотехнология. Первый сканирующий микроскоп был изобретен в 1981 году швейцарскими учеными Биннигом и Рорером. За это изобретение в 1986 году им была присуждена Нобелевская премия по физике. На рис. 2 представлена измерительная часть сканирующего зондового микроскопа для учебных целей NanoEducator, на котором организовано обучение студентов и школьников. Конечно, этот прибор несколько проще современных зондовых микроскопов для научных исследований и он не позволяет наблюдать кристаллическую решетку вещества, но работа на нем позволяет учащимся ознакомиться с принципами современной зондовой микроскопии.

Рис. 2. Внешний вид измерительной головки микроскопа NanoEducator:
1 – основание, 2 – держатель образца, 3 – датчик взаимодействия,
4 – винт фиксации датчика, 5 – винт ручного подвода,
6 – винты перемещения сканера с образцом в горизонтальной плоскости,
7 – защитная крышка с видеокамерой
Сканирующие зондовые микроскопы бывают двух типов – туннельные и атомно-силовые. Первый основан на исследование туннельного тока между зондом и образцом, а второй на исследовании силы взаимодействия между зондом и образцом. Обсудим принцип работы атомно-силового микроскопа (АСМ) (рис. 3). Как уже указывалось, его высокое разрешение по поверхности образца (по X и по Y) обеспечивается прецизионной заточкой острия зонда, диаметр острия – несколько десятков нм. Разрешение по высоте (по Z), а это и есть информация о рельефе поверхности, здесь еще выше, и оно обеспечивается так называемой системой обратной связи – ОС. Рассмотрим работу этой системы.

Рис. 3. Принцип работы зондового АСМ и системы обратной связи
Обозначим силу взаимодействия между зондом и образцом буквой Р, для нее существует достаточно резкая и взаимно однозначная зависимость от расстояния зонд – образец Р = Р(z). Пусть величина этой силы контролируется специальным датчиком, а система обратной связи поддерживает ее значение постоянным, равным величине Р0, задаваемой оператором. Если при перемещении зонда по поверхности в плоскости X, Y расстояние зонд – поверхность изменяется, то происходит изменение и силы Р. В системе обратной связи формируется разностный сигнал, пропорциональный величине ∆P = P – Р0, который усиливается до нужной величины и подается на исполнительный элемент ИЭ.
Исполнительный элемент отрабатывает данный разностный сигнал, приближая зонд к поверхности или отодвигая его до тех пор, пока разностный сигнал не станет равным нулю. В результате расстояние зонд – образец поддерживается постоянным с высокой точностью, которая в современных микроскопах достигает величины ~ 0.01 Å, а разностный сигнал, величине которого пропорционально вертикальное перемещение колонки зонда, может быть использован как информация о рельефе поверхности.
Остается несколько вопросов. Как перемещается зонд по поверхности образца, какова природа рассмотренной силы Р и как она измеряется? Перемещение зонда по поверхности образца в плоскости X, Y называется сканированием, и оно полностью аналогично растровой развертке изображения по экрану телевизора (рис. 4).

Рис. 4. Принцип сканирования зондом поверхности образца
Зонд движется построчно таким образом, что кончик иглы постепенно проходит над всей заданной площадью образца с шагом Δ. Шаг Δ выбирается таким малым, чтобы измерить рельеф поверхности максимально подробно, он не должен превышать диаметр зонда, то есть его разумно выбрать равным 30 – 40 нм. Далее, для сканирования зонда по поверхности образца нет различия между перемещением зонда и обратным перемещением столика с образцом (рис. 5). Технологически в зондовом микроскопе NanoEducator при сканировании в плоскости X, Y организовано перемещение столика, а не зонда. Более того, зонд остается неподвижным и в вертикальном направлении при работе системы обратной связи. Реально происходит не перемещение колонки с зондом, а обратное перемещение столика с образцом.
На практике реализовывать такие прецизионные перемещения столика с образцом с помощью двигателей очень сложно и удобнее использовать явление пьезоэффекта, при котором малые перемещения реализуются за счет микроскопических изменений размеров пьезокристаллов при подаче на них соответствующих напряжений.

Рис. 5. Траектория относительного движения зонда и образца
при поддержании системой обратной связи постоянного взаимодействия
Следующий вопрос – какова природа рассмотренной силы Р? В качестве силы Р выступают электрические силы взаимодействия между атомами зонда и атомами образца, эти силы проявляются при расстояниях между зондом и образцом, сравнимых с межатомными расстояниями. Такие силы всегда есть между атомами вещества, они обеспечивают жесткость решетки твердого тела, и они же используются в АСМ в качестве датчика расстояния зонд – образец, определяя название микроскопа.
В сканирующем туннельном микроскопе (СТМ) в качестве датчика расстояния зонд – образец используется туннельный ток.
Обсудим характер взаимодействия, возникающего между зондом и образцом. При приближении зонда к образцу он сначала притягивается к поверхности благодаря наличию относительно дальнодействующих сил Ван-дер-Ваальса, проявляющихся при величине зазора игла – образец от нескольких тысяч до единиц ангстрем. При малых расстояниях до образца преобладающими становятся короткодействующие силы отталкивания между атомами вследствие перекрытия их электронных оболочек, которое практически сказывается на расстояниях менее 10 Å.
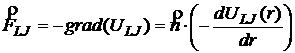
Взаимодействие между зондом и образцом может быть рассчитано на основе модели взаимодействия двух отдельных атомов. Энергию взаимодействия двух атомов, находящихся на расстоянии r друг от друга, наиболее часто аппроксимируют степенной функцией – потенциалом Леннарда – Джонса (the Lennard – Jones potential), качественный вид которого представлен на рис. 6а:
(1)

а) б)
Рис. 6. Качественный вид потенциала Леннарда – Джонса ULJ (а)
и силы взаимодействия (– dULJ /dr) (б)
Первое слагаемое в (1) описывает отталкивание атомов на малых расстояниях, а второе слагаемое учитывает их притяжение на относительно больших расстояниях. Параметр a – координата минимума потенциала, соответствующая равновесному расстоянию между атомами, U0 – значение энергии в минимуме. Если поместить первый атом в начало координат, то сила, действующая на второй атом, определяется стандартной формулой
, (2)
где
– единичный вектор, направленный на второй атом,
– радиус-вектор второго атома. Проекция на радиус-вектор силы, действующей на второй атом FLJ, изображена на рис. 6б. Отрицательное значение выражения в скобках в (2) (знак проекции силы отрицателен) соответствует притяжению атомов, а положительное – их отталкиванию.
Общую энергию взаимодействия системы зонд – образец можно получить, суммируя элементарные взаимодействия для каждого из атомов зонда и образца (рис. 7):
(3)
где
и
– плотности атомов в материале образца и зонда. Результирующая сила, действующая на зонд со стороны поверхности, может быть вычислена по формуле
.

Рис. 7. К расчету энергии взаимодействия зонда и образца
В общем случае данная сила имеет как нормальную к поверхности, так и касательную к ней составляющие, однако основные черты данного взаимодействия сохраняются – зонд АСМ испытывает притяжение со стороны образца на больших расстояниях и отталкивание на малых.
Следующий вопрос – как измерить эту силу взаимодействия, проявляющуюся лишь на нанорасстояниях между зондом и образцом, и обеспечивающую работу системы обратной связи? Непосредственное измерение этой малой силы представляет очень сложную задачу, поэтому поступают следующим образом. Изучают, например, не саму силу, а ее влияние на амплитуду механических колебаний зонда в поле этой силы, такой режим измерений называют колебательным.
Рассмотрим, как реализован колебательный режим измерений в микроскопе NanoEducator. На рис. 8а изображено устройство зондового датчика этого микроскопа. Зонд закреплен на упругой консоли, которая, в свою очередь, закрепляется на неподвижном основании. Консоль, ее второе название кантилевер, изготавливается из пьезокерамики, обладающей пьезоэлектрическими свойствами. Таким образом, консоль одновременно обладает и упругими, и пьезоэлектрическими свойствами.

а) б)
Рис. 8. Конструкция универсального датчика прибора NanoEducator (а)
и его упрощенная механическая модель (б)
К консоли подсоединены два электрически изолированных полуцилиндрических электрода, к одному из которых, выполняющему роль пьезоэлемента, прикладывается переменное напряжение резонансной частоты для раскачки зондового датчика, а другой является электродом пьезодатчика и измеряет амплитуду возникающих колебаний. Оба напряжения отсчитываются относительно общего электрода, которым является внутренняя поверхность пьезокерамического кантилевера, на которую нанесено проводящее покрытие.
В простейшей модели колебаниям реального зондового датчика можно сопоставить колебания пружинного маятника массы m на конце пружины с жесткостью k (рис. 8б). Отличие этой модели от модели колебаний тела на пружине из школьного учебника состоит в том, что здесь добавлены пьезоэлемент и пьезодетектор, однако они не меняют принципы колебательного движения в такой системе.
Если к пружинному маятнику не прикладывать дополнительных сил, кроме силы тяготения, то он, как известно, совершает собственные гармонические колебания с частотой, определяемой по формуле
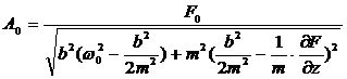
. Если к этой системе подвести периодическую силу F = F0·sin(ωt), то система совершает вынужденные колебания с частотой приложенной силы ω. Соответствующее уравнение колебаний пружинного маятника (зондового датчика) вдоль вертикальной оси z может быть представлено в виде:
, (4)
где
– смещение зонда из положения равновесия, а b – малый коэффициент затухания колеблющейся системы. Установившееся решение (4) (вынужденные колебания) есть
. Амплитуда этих колебаний A зависит от ω:
. (5)
Максимум амплитуды колебаний соответствует минимуму знаменателя в (5), он достигается на резонансной частоте
и равен:
. (6)
Колебания с такой резонансной частотой наблюдаются, когда зондовый датчик расположен относительно далеко от образца (рис. 9, кривая 1). С измерения амплитудно-частотной характеристики (АЧХ) этих колебаний и начинается исследование на АСМ.

Рис. 9. Сдвиг амплитудно-частотной характеристики зондового датчика
при приближении зонда к поверхности образца
В начале исследования определяется резонансная (рабочая) частота колебаний ωрез, на которой в дальнейшем будет колебаться зондовый датчик при любом его положении относительно образца. На следующем шаге исследования рельефа поверхности производится подвод зонда к образцу до момента проявления силы взаимодействия зонда с образцом, что приводит к изменению резонансной частоты системы и сдвигу ее АЧХ. Поскольку зондовый датчик постоянно колеблется со «старой» резонансной частотой, его амплитуда колебаний уменьшается от Aрез до А0. В дальнейшем при сканировании по поверхности образца эта измененная амплитуда системой обратной связи поддерживается постоянной, что обеспечивает постоянное расстояние зонд – образец и возможность детального «ощупывания» поверхностного рельефа. Практически оператор до начала подвода задает это значение А0 в относительных единицах в виде А0 / Aрез.
Рассмотрим теоретически изменение амплитуды колебаний зондового датчика при учете его взаимодействия с образцом. Этот учет может быть проведен в приближении простейшего линейного закона для силы взаимодействия. Действительно, зависимость силы взаимодействия от расстояния между зондом и образцом качественно имеет такой же вид, как и силы взаимодействия между атомами (рис. 6б). В окрестности точки, не являющейся минимумом, допустима линейная аппроксимация закона взаимодействия, т. е. учет лишь первых двух слагаемых ряда Тейлора. Другими словами, маленький «кусочек» графика 6б, если нас интересует лишь малый диапазон расстояний, можно заменить отрезком прямой:
, где z0 обозначено новое положение равновесия зондового датчика. В нашем случае это соответствует малой амплитуде вынужденных колебаний кантилевера и области расстояний между зондом и образцом, где действуют силы притяжения, которые зависят от расстояния «более линейно», чем силы отталкивания (рис. 10).

Рис. 10. Выбор рабочей точки при колебательном режиме АСМ
Появление постоянной силы f0 в линейном выражении для силы взаимодействия приводит, как известно, только к смещению положения равновесия, не меняя резонансную частоту колебаний, и может не учитываться. Тогда уравнение колебаний зондового датчика вместо (4) примет вид:
. (7)
Математически учет слагаемого с градиентом силы эквивалентен изменению жесткости пружины k на
, что позволяет переписать уравнение колебаний в прежнем виде, заменив в нем лишь выражение для жесткости пружины. Соответственно, таким же образом можно использовать полученные ранее формулы для амплитуды и резонансной частоты. Так как
при z = z0 (рис. 10), новая резонансная частота колебаний датчика уменьшается:
, (8)
а новая АЧХ примет вид:
. (9)
Таким образом, при приближении зонда к поверхности АЧХ колебаний датчика смещается влево по сравнению с АЧХ, измеренной вдали от поверхности (рис. 9, кривая 2). Соответственно, амплитуда его колебаний на старой ωрез уменьшается до значения A0, определяемого подстановкой ωрез в выражение (9):
. (10)
Как уже указывалось, при сканировании система обратной связи слегка пододвигает или отодвигает зонд от поверхности образца, чтобы обеспечить неизменное значение этой новой амплитуды колебаний зонда. При этом величина электрического сигнала, управляющего этим перемещением, отображается на экране в качестве значения высоты поверхности в точке, над которой в данный момент находится зонд.
Повторим основные этапы работы на атомно-силовом микроскопе. Вы выбираете образец для исследования и устанавливаете его на столик. Далее с помощью микрометрических винтов производится предварительный, на глаз, выбор области исследования. Далее оператор открывает окно «Резонанс» и дает команду построить резонансную кривую, при построении этой кривой система автоматически выбирает резонансную частоту. После этого оператор открывает следующее окно «Подвод» и под визуальным контролем видеокамеры с увеличением производит подвод зонда к образцу. Основную часть подвода система осуществляет автоматически. Оператор задает амплитуду A0 в виде ее доли от Aрез, например, 0,9. Система мелкими шагами опускает зонд, контролируя на каждом шаге амплитуду колебаний, не уменьшилась ли она до A0. Оператор наблюдает за этим подводом и визуально, и по датчику амплитуды. После окончания подвода оператор переходит в режим сканирования. В этом режиме он выбирает конкретную область сканирования внутри предварительно выбранной относительно большой области 100×100 мкм, выбирает направление сканирования – по X или по Y, шаг и скорость сканирования. После запуска сканирования оператор построчно наблюдает изображение сканируемой области. После окончания измерений программа позволяет произвести математическую обработку результатов, например, сглаживание шумов, представ-
ление результатов в виде объемного изображения, запись результатов на внешний носитель.
В процессе практических занятий планируется изучение методами АСМ как тестовых – так и реальных объектов. В качестве тестовых образцов могут выступать элементы кристаллических решеток или элементы компакт-диска (Compact-disc) CD. Рассмотрим устройство компакт-диска (рис. 11). CD – это носитель информации или устройство хранения данных, информация с которого считывается с помощью лазера, поэтому эти диски называют также оптическими дисками.
|
|
Рис. 11. Компакт диск и изображение его элемента
Информация на диске записывается в виде спиральной дорожки выдавленных углублений. На слайде представлен очень маленький кусочек диска 5×5 мкм, поэтому спиральная дорожка кажется прямой. Эти углубления называются питами, они имеют длину от 850 нм до 3,5 мкм и глубину около нескольких десятков нм. Отметим, что глубина дорожки и определяет принадлежность CD-дисков к приборам нанотехнологий. Промежутки между питами называются лендами. Шаг спиральной дорожки – 1,6 мкм. Комбинация длин питов и лендов и является носителем информации. Эта комбинация в особом формате соответствует последовательности нулей и единиц и служит для записи звуковой и визуальной информации. Формат, используемый в CD-дисках, называется «Red Book». Как уже указывалось, для считывания информации с диска он освещается инфракрасным лазерным лучом, который последовательно обходит спиральную дорожку. Диаметр луча – 1,2 мкм, что, естественно, меньше шага дорожки, поэтому луч «видит» только одну дорожку. Информация регистрируется фотодиодом, который измеряет интенсивность отраженного от поверхности лазерного луча. Если падающий луч попадает на ленд, то фотодиод регистрирует большой отраженный сигнал; если падающий луч попадает на пит–в углубление, то интенсивность отраженного света резко уменьшается. Комбинация сильного и слабого отраженных сигналов и соответствует комбинации нулей и единиц.
На основании приведенных размеров питов и лендов можно оценить современную плотность записи информации и общий объем информации на диске. Последний слайд позволяет оценить размер одного элемента информации, который составляет 3 мкм2. Тогда плотность записи:
.
Примерная площадь диска – 100 см2. Тогда общий объем информации на диске в предположении постоянной по площади диска плотности записи:
.
Известно, что 1 байт информации соответствует примерно одному знаку, одной букве. Однако цифра 0,4·109 букв плохо представима. В то же время известно, что страница обычного текста содержит примерно 3000 знаков, а это позволяет оценить число страниц, которые могут быть одновременно записаны на одном диске:

Таким образом, один CD-диск, а сегодня это не самая большая плотность записи, эквивалентен целой библиотеке.
В качестве примера изучения как тестовых, так и реальных объектов, можно привести результаты исследования на микроскопе NanoEducator элемента СD-диска, молочно-кислых бактерий и крови (рис. 12-13).
|
|
Рис. 12. Изображение элемента СD-диска, полученное на микроскопе NanoEducator
|
|
Рис. 13. Изображения молочно-кислых бактерий и крови на поверхности стекла, полученные на учебном микроскопе NanoEducator











