Выучить конспект (алфавит языка, операции и др.), Просмотреть примеры записи выражений и выполнить домашнее задание в конце этого документа
Алфавит и словарь языка Паскаль
Язык – совокупность символов, соглашений и правил, используемых для общения. При записи алгоритма решения задачи на языке программирования необходимо четко знать правила написания и использования языковых единиц. Основой любого языка является алфавит (набор знаков, состоящий из букв, десятичных и шестнадцатеричных цифр, специальных символов).
Алфавит Паскаля составляют:
· прописные и строчные буквы латинского алфавита: A, B, C…Y, Z, a, b, c,…y, z и знак подчеркивания;
· десятичные цифры: 0, 1, 2,…9;
· 22 специальных символа: + - / * = < > . , : ; @ ‘ ( ) [ ] { } # $ ^
· комбинации специальных символов, которые нельзя разделять пробелами, если они используются как знаки операций: := .. <> <= >= {} (* *).
· Неделимые последовательности знаков алфавита образуют слова, отделенные друг от друга разделителями. Ими могут быть пробел, комментарий или символ конца строки.
· Словарь Паскаля можно разделить на три группы слов: зарезервированные слова, стандартные идентификаторы и идентификаторы пользователя.
Зарезервированные слова (см таб.1) имеют фиксированное написание и навсегда определенный смысл. Они не могут изменяться программистом и их нельзя использовать в качестве имен для обозначения величин.
Идентификатор – имя (identification – установление соответствия объекта некоторому набору символов). Для обозначения определенных разработчиками языка функций, констант и т. д. служат стандартные идентификаторы, например Sqr, Sqrt и т. д. В этом примере Sqr вызывает функцию, которая возводит в квадрат данное число, а Sqrt – корень квадратный из заданного числа. Пользователь может переопределить любой стандартный идентификатор, но чаще всего это приводит к ошибкам, поэтому на практике их используют без изменения. Идентификаторы пользователя – это те имена, которые дает сам программист. При записи программ нужно соблюдать общие правила написания идентификаторов:
· Идентификатор начинается только с буквы или знака подчеркивания(исключение составляют специальные идентификаторы меток).
· Идентификатор может состоять из букв, цифр и знака подчеркивания.
· Максимальная длина – 127 символов, а значащими являются 63 символа.
· При написании идентификаторов можно использовать прописные и строчные буквы.
· Между двумя идентификаторами должен стоять хотя бы один пробел.
Некоторые зарезервированные слова версии Турбо Паскаль
Absolute | Абсолютный | Library | Библиотека |
And | Логическое И | Mod | Остаток от деления |
Array | Массив | Not | Логическое НЕ |
Begin | Начало блока | Or | Логическое ИЛИ |
Case | Вариант | Of | Из |
Const | Константа | Object | Объект |
Div | Деление нацело | Procedure | Процедура |
Go to | Переход на | Program | Программа |
Do | Выполнять | Repeat | Повторять |
Downto | Уменьшить до | String | Строка |
Else | Иначе | Then | То |
End | Конец блока | To | Увеличивая |
File | Файл | Type | Тип |
For | Для | Until | До |
Function | Функция | Uses | Использовать |
If | Если | Var | Переменная |
Interrupt | Прерывание | While | Пока |
Interface | Интерфейс | With | С |
Label | Метка | Xor | Исключающее ИЛИ |
Операции в Паскале
Приоритет операции | Условный знак | Выражение | Название операции | Тип переменных в выражении | Тип результата выполнения опрации |
ЛОГИЧЕСКИЕ ОПЕРАЦИИ | |||||
1 | not | not A | Логическое "не" | Логический целый | Логический целый |
2 | and | A and b | Логическое "и" | Логический целый | Логический целый |
3 | or | A or B | Логическое "или" | Логический целый | Логический целый |
3 | xor | A xor B | Логическое исключающее "или" | Логический целый | Логический целый |
МАТЕМАТИЧЕСКИЕ ОПЕРАЦИИ | |||||
2 | * | x*y | Умножение | Целый | Целый при умножении |
2 | / | x/y | Деление | Смешанный вещественный | Целых чисел, иначе вещественный |
2 | div | N div M | Деление | Цлый | Целый |
2 | mod | N mod M | Остаток от деления | Целый | Целый |
3 | + | x + y | Сложение | Целый вещественный | Целый при операции с целыми числами, иначе вещественный |
3 | - | x-y | Вычитание | Целый вещественный | Целый при операции с целыми числами, иначе вещественный |
ОПЕРАЦИИ СРАВНЕНИЯ | |||||
4 | = | x=y | Равно | Число=число | Логический |
4 | <> | X<>y | Не равно | Строка=символ | Логический |
4 | > | x>y | Больше | Строка=символ | Логический |
4 | < | x<y< td=""> </y<> | Меньше | Строка=символ | Логический |
4 | >= | x>=y | Больше или равно | Строка=символ | Логический |
4 | <= | x<=y | Меньше или равно | Строка=символ | Логический |
Примеры записи выражений с использованием функций в программе
Записать выражение верное для языка Pascal.
Пример 1.

Ранее мы уже говорили, что в Pascal функция тангенса расписывается как синус деленный на косинус. В приведенном примере аргументом как синуса так и косинуса служит функция квадратного корня sqrt(x), аргументом которого в свою очередь является переменная х.
Пример 2.

Внешней функцией этого выражения является квадрат аргументом которому служит все выражение
(sqrt(x)+sqr(x)) заключенное в скобках, в котором, что в первом случае с квадратным корнем sqrt, что во втором случае с квадратом sqr аргументом является переменная х.
Пример 3.

В данном примере аргументом абсолютного значения является все выражение заключенное в модуле 1+sinx (1+sin (x)), где в свою очередь аргументом синуса sin является переменная х.
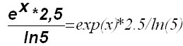
Пример 4.

В данном примере использовано две простые функции экспонента и натуральный логарифм. Аргументом экспоненты exp является переменная величина х, а для натурального логарифма ln в качестве аргумента использовано строгое значение 5. В остальном выражение оформляется по правилам записи арифметических выражений.
ДОМАШНЕЕ ЗАДАНИЕ
1. Запишите выражение на математическом языке
1) У:=sqr (5*x) + sqrt(x – 1)/(5 +x)*4 + 3/x
2) В:=3*abs(x-ln(5)*y)/exp(2)
3) С:=sqr(x))+exp(2/3*ln(x)));
2. Запишите выражения на языке программирования Паскаль
![]() | ||




