Как заработать свои первые деньги?
Слушайте больше на Подкасте Михалыча для молодежи
, , ВЛИЯНИЕ ШТОРМОВЫХ МИКРОСЕЙСМИЧЕСКИХ КОЛЕБАНИЙ НА СЕЙСМИЧНОСТЬ В РАЙОНЕ КУРИЛЬСКИХ ОСТРОВОВ ТИХОГО ОКЕАНА И НА ОЗЕРЕ БАЙКАЛ // Геология и геофизикаТ.38, № 8. - С.1411—1419.
Геология и геофизика, 1997, т. 38, № 8, с. 1411—1419
УДК 550.348.432
ВЛИЯНИЕ ШТОРМОВЫХ МИКРОСЕЙСМИЧЕСКИХ КОЛЕБАНИЙ НА СЕЙСМИЧНОСТЬ В РАЙОНЕ КУРИЛЬСКИХ ОСТРОВОВ ТИХОГО ОКЕАНА И НА ОЗЕРЕ БАЙКАЛ
, ,
Институт земной коры СО РАН, Иркутск, , Россия
Рассматривается действие вибраций (микросейсм), обусловленных стоячими водяными волнами, образующимися в циклонах (тайфунах), и их влияние на проявление землетрясений. Показывается, что во время штормов на Тихом океане в районе Курильских островов уменьшается число слабых землетрясений, расположенных в верхних горизонтах земной коры (глубиной h < 20 км). Подобный эффект прослеживается на оз. Байкал. Наблюдается уменьшение числа землетрясений во время штормов по сравнению с проявлением сейсмичности, приходящейся на тихую погоду. Обсуждается вопрос о механизме влияния штормовых микросейсм на уменьшение числа слабых землетрясений. Делается вывод о том, что внешняя энергия расходуется на восстановление равновесия ограниченных объемов сейсмоактивной среды после отдельных основных землетрясений стационарного режима. Вследствие этого меняется пространственно-временное распределение сейсмических событий, представленное суммарным „потоком" основных и вторичных землетрясений.
Землетрясения, штормовые микросейсмы, Курильские острова, оз. Байкал.
V. A. Potapov, V. N. Tabulevich, and E. N. Chernykh
THE IMPACT OF STORM MICROSEISMIC VIBRATIONS ON THE SEISMICITY OF THE KURIL ISLANDS IN THE PACIFIC AND LAKE BAIKAL
The impact of vibrations (microseisms) caused by standing water waves originated by cyclones (typhoons) on the appearance of earthquakes is considered. It is shown that during storms on the Pacific in the region of the Kuril Islands the number of weak earthquakes located in the upper horizons of the Earth's crust (depth h < 20 km) decreases. A similar effect is observed on Lake Baikal. A decrease in the number of earthquakes during storms takes place as compared with the seismicity of quiet weather. The mechanism of impact of storm microseisms on the number of weak earthquakes is discussed. The conclusion is made that the extrinsic energy is spent on restoring the equilibrium of limited volumes of a seismoactive medium after some primary earthquakes of stationary regime. Owing to this the space-time distribution of seismic events is changed, as represented by a total “flow” of primary and secondary earthquakes.
Earthquakes, storm microseisms, Kuril Islands, Lake Baikal
ВВЕДЕНИЕ
Влияние вибраций на физическое состояние грунтов и верхних горизонтов земной коры было рассмотрено во многих работах, например [1—4]. показал возможность перемещения глыб в вибрирующем песке и предложил объяснение аномального расположения каменных валунов выше мелкообломочного материала грунтов в сейсмоактивных районах. и С. X. Негматуллаев проследили действие вибраций, вызванных водосбросом Нурекской ГЭС. Они наблюдали длительные периодические колебания (микросейсмы) с амплитудой порядка 0,02 мкм, зафиксированные на расстоянии 6 км от водосброса. Эти вибрации способствовали уменьшению числа слабых землетрясений в районе, прилежащем к Нурекской ГЭС. Была высказана мысль о возможности использования вибраций для снятия локальных напряжений в земной коре, накопление которых приводит к землетрясениям. Подобное предположение было сделано в статье газеты „Труд" [5], где связывалось уменьшение числа землетрясений Курильского региона Тихого океана с действием штормов (вибраций).
Рассматривая причины, способствующие проявлению землетрясений, все чаще обнаруживают помимо традиционных условий возникновения сейсмических событий, связанных с разломами и тектоническими движениями, влияние процессов, происходящих в гидроатмосфере, на физическое состояние земной коры [6—9 ]. Целью настоящей работы является изучение действия периодических колебаний (вибраций) на проявление сейсмичности. В какой мере штормовые микросейсмы влияют на сейсмичность того региона, где океанские и морские волны создают вибрации в земной коре [10]? Как влияют вибрации на реальные геологические среды? Какой должен быть спектральный состав вибраций, мощность, энергия, переданная земле, и продолжительность колебаний, способных изменить напряжения земной коры и способствовать структурной перестройке пространства? Для
® , , 1997
1411
ответа на эти вопросы были проведены исследования в Курильском регионе Тихого океана и на оз. Байкал. Рассмотрим подробнее, что собой представляют вибрации, вызванные штормами.
1. МОЩНОСТЬ ШТОРМОВЫХ МИКРОСЕЙСМ
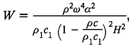
В северо-западной части Тихого океана проходят глубокие циклоны и тайфуны, сопровождающиеся штормовыми волнами. Высота этих волн достигает 5—8 м, а период колебаний 10—14 с. Полная величина кинетической энергии подобного рода атмосферных депрессий, выделяющаяся за сутки, по оценке [11], равняется (1,2¸2,3) • 1018 Дж. Так, например, тайфун диаметром 700 км, прошедший над Японским и Охотским морями, развивал мощность 1,5-1013 Дж/с"1. Часть этой мощности водяные волны передают земной коре в виде периодических колебаний, так называемых штормовых микросейсм (ШМС). Оценка мощности (W) источников возбуждения ШМС может быть выполнена с помощью гидродинамической модели, разработанной Я. Хибло и Ж. Рокар [12 ]. Они рассмотрели область стоячих волн, возникающих при интерференции разнонаправленного волнения, и получили, что
(1)
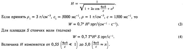
![]()
где r, с, r1, с1 — плотность и скорость сейсмических волн в воде и грунте, соответственно w, a, h — круговая частота, амплитуда и высота водяных волн.
![]()
Вводя величину определим коэффициент H, характеризующий резонансный эффект сжимаемой среды
(2)

Второй расчет мощности был сделан с помощью записей ШМС сейсмическими станциями [13]. Исходя из того, что микросейсмы представляют собой суммарное колебание, являющееся результатом сложения поверхностных, объемных и вторичных волн, приходящих одновременно в данную точку земной поверхности, было получено [14]:
(5)
![]()
Здесь А — амплитуда ШМС, измеренная на сейсмограммах, r — расстояние от источника до станции, b=(1,5— 2)-104 км1,5 — коэффициент, контролирующий состав микросейсмических волн, D — величина, зависящая от периода микросейсм и физических свойств среды. Результаты расчетов мощности источников ШМС, которые были сделаны по выражениям (4) и (5), полученным с помощью различных предпосылок (гидродинамической и сейсмической модели), хорошо согласовывались. Следует иметь в виду существенные различия в оценке энергии землетрясений, взрывов и микросейсмических источников возбуждения. Землетрясения и взрывы — это импульсные процессы, и для них естественным является понятие энергии, а физическая величина мощности лишена наглядного значения. Микросейсмы являются стационарным процессом, и к ним, естественно, применимо понятие мощности. Если микросейсмические бури длятся несколько суток, то переводной множитель между мощностью и энергией может достигать 105. Оценим возможную максимальную мощность ШМС по реальным примерам. 16—18 марта 1968 г. глубокий циклон в Северной Атлантике перемещался со скоростью до 100 км/ч-1. Площадь стоячих волн, оцененная по метеорологическим картам, была порядка 105 км2, период колебаний ШМС, измеренный на сейсмограммах, достигал 9 с.
Из выражения (4), принимая коэффициент резонансного усиления H= 1 и 2, будем иметь W=(4—3) • 1010 Дж/с-1. Из (5) W=5-1010 Дж/с-1. Для циклона, прошедшего в Индийском океане 22.IX.1957 г. в 00 часов, мощность была оценена в 1011 Дж/с-1.
1412
Минимум мощности источников ШМС, которая могла бы представлять интерес для изучения землетрясений, был установлен 1010 Дж/с-1. Она соответствует площади штормовых стоячих волн в циклоне 100 км2, периоду микросейсм Т = 2 с и морю малой глубины. Циклоны могут проходить над океанами в течение нескольких суток, а действие малой атмосферной депрессии может ограничиваться часами, т. е. диапазон энергии, переданной земной коре, может быть 1010 ¸ 5×1012 Дж.
Оценка энергии, переданной земной коре штормами, позволяет высказать предположение, что сезонное изменение геофизических величин (скорости сейсмических волн, деформаций, числа землетрясений и др.), обнаруженное и др. [15], может быть объяснено глобальными процессами. Как возможный вариант такого объяснения, можно считать влияние штормовых процессов и общее возмущение гидросферы в осенне-зимнее время. Расчет параметров тихоокеанских источников ШМС, охватывающий Охотское, Японское моря и внешнюю океанскую дугу Курильских островов, был сделан по методу инварианта и невязки мощности [16 ]. Было получено, что источники возбуждения ШМС с периодами колебаний Т =5 с имеют мощность W= (Дж/с-1. Они характерны для Охотского и Японского морей. Для внешней тихоокеанской дуги Курильских островов Т ³ б с и W= (109 ¸ 3×1010) Дж/с-1. Продолжительность подобных процессов не менее 3—6 ч в максимальной фазе, а общая длительность бури может быть до двух-трех суток. Надо отметить, что области стоячих волн в циклоне перемещаются по акватории так же, как и источники ШМС. Их действие на дно за время одной бури охватывает, в общей сложности, большие площади. Длина траектории циклона может быть сотни и тысячи километров. Область интерференции волн (ШМС) переходит за центром циклона и располагается в тыловой его части. При перемещении центра циклона в другое положение возникает новый источник ШМС, а предыдущие волны частично затухают. Можно себе представить, что штормовые микросейсмы действуют подобно вибратору на морское дно. Лоцируя области генерации микросейсм, определяют тем самым положение областей стоячих волн, областей излучения инфразвука [17] и фиксируют штормовые процессы в атмосфере.
2. СРАВНЕНИЕ ИНТЕНСИВНОСТИ МИКРОСЕЙСМИЧЕСКИХ ШТОРМОВ С ЗЕМЛЕТРЯСЕНИЯМИ В РАЙОНЕ КУРИЛЬСКИХ ОСТРОВОВ ТИХОГО ОКЕАНА
В предыдущем разделе было показано, что мощность ШМС составляет 108 ¸ 1010 Дж/с"1 и энергия колебаний передается литосфере в течение часов и дней.
В Курило-Охотском регионе имеют место как единичные большие землетрясения (К ³ 16), так и многочисленные землетрясения 9—11 класса [18], сравнимые с мощностью ШМС. Были рассмотрены землетрясения, охватывающие акваторию южнее Камчатского полуострова, а также землетрясения в океане, граничащие с Северной Японией, т. е. районы 1—б (рис. 1). Обозначения взяты из вышеуказанных сборников [18]. Существующая сеть постоянных и экспедиционных сейсмических станций п-ова Камчатка, Курило-Охотского региона, о. Сахалин дала возможность использовать землетрясения, начиная с энергетических классов К ³ 9.
В районах 1—6 гипоцентры землетрясений имеют глубину h=0 ¸ 200 км. Глубокофокусные очаги зоны Беньоффа, проектирующиеся на центральную часть Охотского моря (район 8), не рассматривались.

Для пространственного сопоставления землетрясений и интенсивности микросейсм были приняты в расчет штормы, прошедшие в Курило-Охотском регионе, главным образом те, которые развивались в океане над эпицентральной областью 1—б. Время действия штормов и проявление землетрясений приписывалось одному календарному месяцу. ШМС определялись по сейсмическим станциям Петропавловск-Камчатский, Магадан, Курильск, Южно-Сахалинск, Владивосток, Углегорск, Оха. Характеристика интенсивности микросейсмических бурь (SI) выполнялась с помощью двоичного кода [17]. Превышение в два раза максимальной амплитуды микросейсм (Amax) над средним фоновым значением обозначалось за 1, если же Amax/Aср < 2, то обозначение было 0. Периоды колебаний выбирались равными или более 6 с, что соответствовало обозначению 1, а менее 6с — обозначению 0. Классификация ШМС
Рис. 1. Исследуемая область землетрясений и микросейсмических штормов (1—6) [18].
1413

Рис. 2. Интенсивность ШМС SI и число землетрясений SN при 9£К £11, h = км за 1974—1975 гг.
1 - SI, 2 - SN.
выполнялась за каждый день. Итоговое число (SI) приписывалось каждому календарному месяцу. На рис. 2 сплошной линией показано изменение интенсивности микросейсм SI за 1974—75 гг. Видно, что наибольшая активность ШМС приходится на ноябрь, декабрь, январь. Затишье наблюдается в июне и июле. Во время переходного периода от летних к осенним и зимним месяцам или наоборот имеются отдельные подъемы или спады SI, характерные для каждого года. На этом же рисунке показано число слабых землетрясений SN (9 £К £11), проявившихся в течение одного месяца на глубинах h от 0 до 200 км.
Прослеживается уменьшение числа землетрясений SN во время штормов и наблюдаются максимальные значения SN во время „тихих" месяцев. Коррелируя попарно величины чисел землетрясений, и чисел, показывающих интенсивность штормов за двенадцать месяцев, мы получили коэффициенты корреляции -0,6, -0,3, -0,51 за 1974—1975 и 1979 гг. Видно, что два явления:
сейсмическая активность и возмущение в гидросфере, которое создает ШМС, находятся в „противофазе", однако, взаимосвязанность двух процессов слабая и различная по годам.
Сравним, как действуют штормы на проявление землетрясений, расположенных на глубине от О до 200 км и на малой глубине от 0 до 30 км. Для этого используем многолетние, подробные наблюдения с 1968 по 1982 гг. [18, 19]. Все землетрясения разделим на группы по классам энергии:
первая группа NI К= 9 ¸ 11, вторая NII К ³11¸13и третья NIII К³13¸16 и выше. Глубина этих землетрясений от 0 до 200 км. Для каждой из групп было определено среднеарифметическое значение SN за 15 лет, отнесенное к определенному месяцу.
На рис. 3 показано изменение числа землетрясений SNI, SNII, SNIII в течение года и сезонная интенсивность ШМС — SI. Связь числа землетрясений и интенсивности штормов определяется коэффициентами корреляции rI = - 0,41, rII = - 0,36, rIII = - 0,05. Видно, что землетрясения больших энергий (К> 13) с гипоцентрами, расположенными на глубинах до 200 км, не связаны с


Рис. 3. Средняя интенсивность ШМС SI и число землетрясений SN для глубин h = 0 ¸200 км.
I —SNI при 9 £ К£11, 2—SNII при 11 £ К£ 13, 3 — SNIII при 13 < К £ 16, 4 — SI.
Рис. 4. Средняя интенсивности ШМС SI и числа землетрясений 2 N, рассчитанная по данным 1968—1982 гг., для 9 £ К £ 11 и h < 30 км.
1 — SNIa для глубин h £ 20 км, 2 — SNIб для h £ 30 км, 3 — SI.
1414

Рис. 5. Гистограмма числа землетрясений SN глубиной h = 0 ¸ 30 км, 9 £ К £ 11 и интенсивности штормовых микросейсм SN для участков 1—6 (см. рис. 1).
параметрами SI. Они подчиняются главным образом независимым движениям Тихоокеанской плиты в зоне Беньоффа.
Рассмотрим далее, как проявляются землетрясения малых энергий К = 9 ¸11 на глубинах, не превышающих 30 км. Выделим две группы: SNIa — землетрясения на глубинах h £20 км и SIIб — на глубинах h £ 30 км. На рис. 4 повторена кривая интенсивности ШМС SI и нанесены сезонные изменения SII, SIIб. Для землетрясений с глубиной от 0 до 20 км коэффициент корреляции возрос до
-0,7, а для глубин от 0 до 30 км — до -0,6. На рис. 5 дана гистограмма числа землетрясений (К= 9
— 11) и среднеарифметические числа интенсивности штормов. Видно, что при большом количестве штормов за месяц (SI = 25 — 30) число землетрясений в три раза меньше.
Рассчитывая максимум корреляционной функции (см. рис. 3 и 4) между SI и SN, мы получили, что он возникает при отставании SN на промежуток времени, равный одному месяцу. При этом r1 = - 0,0701, r1I = — 0,55, r1а = - 0,702, r1б = - 0,61, т. е. уменьшение числа землетрясений вибрациями достигается с месячным отставанием.
3. СРАВНЕНИЕ ИНТЕНСИВНОСТИ МИКРОСЕЙСМИЧЕСКИХ ШТОРМОВ С ЗЕМЛЕТРЯСЕНИЯМИ, ПРОЯВИВШИМИСЯ НА ОЗЕРЕ БАЙКАЛ

Влияние штормов оз. Байкал на проявление землетрясений было оценено в соответствии с положениями, рассмотренными в разделах 1, 2 настоящей статьи. Выбирались штормы, в которых происходила перемена направления ветра и могло возникать волнение типа стоячих водяных волн [17]. Такая ситуация характерна главным образом для октября—декабря [20]. Подобные метеорологические условия возникают часто при пересечении циклонами оз. Байкал (рис. 6). Возникают микросейсмические колебания на дне, их мощность может быть порядка 108 ¸ 109 Дж/с-1. Периоды штормовых микросейсм оз. Байкал Т=2¸3 с, амплитуды, записанные сетью сейсмических станций, достигают 5¸10 мкм [21].
Сравним проявление землетрясений SI, расположенных только под акваторией Байкала. По каталогу землетрясений [18 ] была сделана выборка за 9 лет (1976——81, 1982,1986,1988 годы). Все землетрясения были сгруппированы по величине энергии: 8 £К £ 9;
9 < К <14 и выше. Глубина землетрясений в Прибайкалье ограничивается в основном толщиной земной коры. Были учтены все землетрясения с глубинами, которые даны в каталогах (h»0¸30км) [18].
Разобьем время года на „тихие" месяцы, т. е. погоду, не сопряженную со штормами, волнами на Байкале и про-
__________________________
Рис. 6. Метеорологические условия, характерные для штормовой погоды на оз. Байкал [20].
Резкое изменение направления ветра показано стрелками: а — первоначальная картина, б — удар северо-западного ветра, в — высота волн.
1415


Рис. 7. Соотношение между штормами на оз. Байкал (SI) и числом землетрясений (SN) в каждом месяце (среднее арифметическое за 9 лет).
А — количество землетрясений (штриховая линия) К = 8 ¸ 14 в соотношении с уровнем штормов (сплошная линия), Б — количество землетрясений К=8¸9 (1) (lgE£12,5) и (2) 9<К<14 (lgE>12,6). Вертикальные линии соответствуют 67 %-му уровню значимости рассеяния данных.
хождением циклонов. Время, когда озеро покрыто льдом, будет соответствовать отсутствию штормовых вибраций, действующих на дно. Примем февраль, март, апрель за „тихие" месяцы зимнего периода (I), а май, июнь, июль — за „тихие" месяцы летнего периода (II). Временем наибольших штормов являются октябрь, ноябрь, декабрь (III). Между периодами I, II и III будут переходные месяцы с неопределенным состоянием погоды.
На рис. 7, А дано сравнение числа землетрясений SN, проявившихся в каждый месяц (среднее арифметическое за 9 лет) с северо-западными штормами (проценты от общего числа). За январь и февраль данные о штормах отсутствовали. SN показывает число землетрясений для 8£К<14 (среднеарифметическое для каждого месяца за девять лет). Видно, что в периоды „тишины" число землетрясений увеличивается более чем в 2,5 раза по сравнению с землетрясениями, приходящимися на штормовую погоду. Два события взаимосвязаны, коэффициент корреляции между SN и SI, по данным обработки за 9 лет, равняется -0,77. Во время интенсивных вибраций (штормов) уменьшается число землетрясений под акваторией Байкала.
4. ОБСУЖДЕНИЕ РЕЗУЛЬТАТОВ
Из полученных результатов наиболее очевидным можно считать уменьшение числа землетрясений (К£8¸12) глубиной h£30 км под действием штормов, и минимальное количество землетрясений во время штормов в ноябре—декабре. Выявлено также отсутствие непосредственной связи между сильными землетрясениями К< 16 Курильского региона и штормами.
Выявление изменения соотношения числа землетрясений по диапазонам энергетических классов в период увеличения уровня микросейсмических колебаний, обусловленных штормами, сопряжено с рядом трудностей. В работах [22 ], [23 ] показано, что полная сейсмическая энергия землетрясений с малыми размерами очагов превосходит на несколько порядков значения энергетических классов (К), определяемых при приведении очагов к фиксированному условному (референц-сфере) очагу. Если в независимо полученных корреляционных связях между логарифмами полной сейсмической энергии и традиционными энергетическими классами последние выразить через магнитуды, например, согласно [24 ], то будем иметь
lgE = (8,03 ¸ 8,12) + (1,01 ¸ 1,11)М.
Логарифмы полной сейсмической энергии, излучаемой очагами, с точностью до 10—20 % есть смещенное (увеличенное) на ~8 единиц значение магнитуды.
Нами на основе выявленного ранее энергетического квазиварианта излучаемой сейсмической энергии [25] также получена связь между полной энергией и традиционными значениями К. Определено, что логарифмы полной сейсмической энергии (в Дж) смещены относительно значений 1416
Связь полной энергии землетрясений (lg E) с размерами очагов (R0) и энергетическими классами (К)

магнитуд на 9,33 единицы [26]. В таблице приведены энергетические классы К и значения полной сейсмической энергии (E) землетрясений.
Как следует из таблицы, величины К и lg E для очагов с радиусом R0 ~ 10 км соответствуют друг другу, что свидетельствует о хорошей сходимости и достоверности результатов расчетов lg E.
Оценивая влияние штормовых вибраций, мы ввели понятие мощности. Переходя к энергии штормовых микросейсм, переданной земной коре, необходимо знать длительность процесса периодических колебаний, происходящих на данной площади. Для области стоячих волн, создающих переменное давление на дно акватории, этот множитель может быть от секунд до часов (10 ¸ 104), т. е. полная энергия микросейсм будет примерно равна полной энергии землетрясений соответствующих классов (К =7 ¸ 13). Если сравнивать размеры очагов землетрясений, количество которых связано с действием ШМС, то поверхности очагов не превышают площади генерации микросейсм, составляющие 102 ¸ 105 км2. Как видно из таблицы, микросейсмические колебания влияют на количество очагов, площади которых 4pR0 < SШМС.
Разобьем весь диапазон lg Е землетрясений Байкала на два интервала: lgE£12,5; 12,6<lgE< 14,9. Первый из них соответствует K=8¸9, второй — 9<К< 14. Таким образом, среднеинтервальные значения lg Е разнятся на £1,5 порядка. Диапазон полной сейсмической энергии байкальских землетрясений, используемых в анализе, составляет 3 ¸ 3,5 логарифмических единиц. На рис. 7,5 показано изменение числа землетрясений с lgE £12,5 и lgE> 12,6 в зависимости от уровня микросейсм. Отчетливо выявляется относительное снижение числа более слабых землетрясений во время штормов. Снижение числа слабых землетрясений (lgE £12,5) составляет 0,4 логарифмических единицы.
Каждое сейсмическое событие нарушает равновесие ограниченного объема напряженно деформированной среды. Размеры части среды с измененным состоянием зависят от разрушенного объема в момент выделения энергии. Время релаксации напряжений (т) после единичного события определяется размером источника (его магнитудой). Отдельные сейсмические события на протяжении периода т сопровождаются серией сопутствующих актов излучения энергии с меньшими размерами очагов. Г. Беньофф предлагал отличать сильные первичные землетрясения и вызванные последними более слабые толчки [27 ]. Сейсмоактивная зона может рассматриваться как изолированная стационарная система, находящаяся вблизи критической точки, когда в отдельных областях ее имеют место „самовозбужденные" акты выделения сейсмической энергии, мигрирующие в пространстве. В такой ситуации поступление внешней кинетической энергии вибраций может изменять время релаксации напряжений, ускорять процесс восстановления равновесного состояния локальных объемов среды, уменьшая или ликвидируя поток вторичных землетрясений. После снятия внешних нагрузок среда не только сохраняет „память", но и является более „подготовленной" для возникновения возможных сильных событий. Действительно, сильные землетрясения Байкала (Кп ~ 15) происходили чаще в периоды тишины (с I по V месяцы).
Глубокие Курильские землетрясения зоны Беньоффа (13 < К< 16) не связаны, не коррелированы с внешними штормовыми вибрациями. Энергия же вибраций, переданная океаническому дну, на один, два порядка выше, чем энергия байкальских микросейсм. И, как видно из рис.3, количество землетрясений с Кп>12,5 в период затишья и в "штормовую погоду значимо меняется, в отличие от байкальских землетрясений.
Наиболее активен процесс уменьшения числа слабых землетрясений на малых глубинах (h< 20 км), где ШМС меньше затухают, и коэффициент корреляции между SI и SN равен 0,7. Некоторые сравнительные данные о мелко - и глубокофокусных землетрясениях, иллюстрирующие высказанное, показаны на рис. 8. Если сравнивать землетрясения, проявившиеся в районе Курильских островов Тихого океана, т. е. в зоне Беньоффа, захватывающей океаническую земную кору (группа I), и землетрясения, проявившиеся под оз. Байкал (группа II), т. е. в земной коре континентального типа, то видно, что в первом случае гипоцентры расположены главным образом на глубине свыше 30 км, а во втором — они приурочены к глубинам до 30 км. Видно, что для океанической
1417

Рис. 8. Распределение по глубине землетрясений, лежащих под дном океана, для Курило-Охотского региона (участки 1—6, см. рис. 1) и для континента в районе Прибайкалья за 1980—82 годы [З].
коры на участках 1—б (см. рис. 1) в зоне Беньоффа имеется „дефицит" землетрясений средних и больших энергий на малых глубинах. Можно предположить, что землетрясения с эпицентрами, проектирующимися на дно океана, как бы „отжаты" штормами вниз.
ЗАКЛЮЧЕНИЕ
Установлено влияние вибраций (штормовых микросейсм) на проявление сейсмичности. Из полученных результатов наиболее очевидным можно считать: 1) уменьшение числа землетрясений (К< 13) глубиной h £. 30 км под действием штормов; 2) приуроченность минимального количества землетрясений к развитию штормов в ноябре—декабре; 3) отсутствие непосредственной связи между сильными землетрясениями 13 £ К< 16 Курильского региона и штормами.
Для Курильских островов влияние вибраций сказывается наиболее ясно для землетрясений малых энергий К £11, расположенных на глубинах h £ 20 с коэффициентом корреляции — 0,77. Таким образом, мы получили независимое подтверждение влияния вибраций на проявление землетрясений для двух различных регионов.
Выявленные здесь закономерности не являются средством борьбы с катастрофическими землетрясениями, но выявляют природу „слабого фланга" этих явлений и поэтому могут считаться вкладом в теорию прогноза землетрясений.
Работа выполнена при финансовой поддержке Российского фонда фундаментальных исследований (проект ).
ЛИТЕРАТУРА
1. Левин тяжелого шара в вибрирующем песке // Журн. ПМТФ, 1991, № 3, с. 85—88.
2. Мирзоев К. М., X. Влияние механических вибраций на сейсмичность // Докл. АН СССР, 1990, т. 313, № 1, с. 78—83.
3. О вероятном механизме вибрационных эффектов и о виброчувствительности насыщенных сред // Физические основы сейсмического метода. Нетрадиционная геофизика. М., Наука, 1991, с.10—221.
4. Амосов С. М., , Физико-химические процессы в сейсмическом поле вибрационных источников // Физические основы сейсмического метода. Нетрадиционная геофизика. М., Наука, 1990, с. 221—231.
5. Как укротить землетрясение // Газ. „Труд", № 19, 23.01.86, с. 4.
6. Об опыте прогнозирования времени сильных землетрясений и о зависимости времени и силы землетрясений от атмосферных процессов // Физические процессы в очагах землетрясений. М., Наука, 1980, с. 275.
7. H. Явление частичной ликвидации тектонических напряжений штормовыми микросейсмическими бурями. М., ВИНИТИ, 1979, № ЗЗа-79. Деп. РЖ Геофизика, № 12.
8. Tabulevich V. N., Pavlov O. V. Impact of storm microseisms vibration on the earthquake of the Kurils. EGS/ESC, Kiel, 21—30 August, 1986 (Abstr.).
9. H., Влияние штормовых микросейсмических колебаний на землетрясения Курило-Охотского региона. Сейсмичность и сейсмический прогноз на Дальнем Востоке. Петропавловск-Камчатский, 1986, с. 55.
1418
10. Островский причина сезонной периодичности некоторых калифорнийских землетрясений // Докл. АН СССР, 1990, № 1, с. 83—86.
11. Вопросы энергетики атмосферных процессов. Гидрометеорологическое издание. Ленинград, I960, 168 с.
12. Hieblot J., Rokard J. Contribution a la theorie des microseisms // Ann. de Geophys., 1959, № 15, p. 539—548.
13. Tabulevich V. N. On the power and energy of sources of excitation of microseisms // Technical and Economical Studies, D-Series, Geophysical Prospecting. Bucharest, 1975, № 10, p. 45—51.
14. Tabulevich V. N. Microseismic and Infrasound waves. Berlin, Heidelberg, Springer-Verlag, 1992, 150р.
15. , , и др. Закономерности временных изменений некоторых геофизических полей // Докл. АН СССР, 1986, т. 286, № 1Б, с. 77—, Брандт И. С., Об источниках возбуждения микросейсмических колебаний в северной части Атлантического океана и северо-западной части Тихого океана // Сейсмические исследования в Восточной Сибири. М., Наука, 1981, с. 164—174.
17. Табулевич исследования микросейсмических колебаний. Новосибирск, Наука, 1986, 149 с.; 1972—1989, с. 250—300.
18. Землетрясения СССР за 1968—1986 гг. М., Наука, 1972—1989 гг., с. 250—300 (в каждом ежегоднике).
19. Бюллетень микросейсмических колебаний по данным сейсмических станций СССР за 1968— 86 гг. / Ред. . Ин-т земной коры СО АН СССР, МЦД В2 (Международный центр данных 1970—1989, с. 180) (Каждый ежегодник).
20. Атлас волнения и ветра озера Байкал / Под ред. , . Ленинград, Гидрометеоиздат, 1977, 117 с., рис. б, в, с. 29; рис. а, с. 81.
21. Табулевич микросейсмических колебаний в анизотропной среде // Изв. АН СССР. Сер. Физика Земли, 1970, № 9, с. 72—75.
22. Аптикаев колебания при землетрясениях и взрывах. М., Наука, 1969, 104с.
23. Методы детального изучения сейсмичности // Тр. Ин-та физики Земли АН СССР, I960, № 9 (176).
24. Проблемы сейсмологии. М., Наука, 1992, 136 с.
25. А. Инженерно-сейсмологический анализ объемных и поверхностных волн. Новосибирск, Наука, 1992, 84 с.
26. , Введение в инженерную сейсмологию (нелинейные приближения). Иркутск, Изд-во Иркут. ун-та, 1994, 84 с.
27. Benioff Н. Global strain accumulation and release as revealed by great earthquakes // Bull. Geol. Soc. Amer., 1951, v. 62, p. 331—338.
Рекомендована к печати. 30 апреля 1996 г.
Поступила в редакцию
15 февраля 1996 i.


