О СООТВЕТСТВИИ НИСПАДАЮЩЕЙ ВЕТВИ КРИВОЙ ДЕФОРМИРОВАНИЯ «НАПРЯЖЕНИЕ-ДЕФОРМАЦИЯ» РАЗУПРОЧНЯЮЩЕМУСЯ УЧАСТКУ КРИВОЙ ПОЛЗУЧЕСТИ
,
Новосибирск, Россия
Расчеты элементов конструкций на живучесть (способность сохранять эксплуатационный ресурс) проводятся для нештатных (аварийных) ситуаций, а также при обработке материалов давлением (ОМД) для формообразования деталей в режимах ползучести, включая технологии, использующие явление сверхпластичности. В докладе приводятся материалы применительно к формообразованию деталей.
В производстве современных изделий машиностроительного профиля широко используются высокопрочные и, следовательно, малопластичные труднодеформируемые сплавы. Для конструкционных сплавов на основе алюминия и титана показано, что медленные температурно-скоростные режимы деформирования ОМД за счет развиваемых во времени необратимых деформаций ползучести, включая режимы сверхпластичности и близкие к ним, со скоростями деформаций порядка
≈ 10-3 /сек и меньше, более благоприятны в сравнении с традиционными квазистатическими режимами со скоростями порядка процентов в секунду. Процесс нагружения с такими скоростями не выходит за пределы упругой области, «вневременные» пластические деформации отсутствуют
≡ 0, деформирование при изменении нагрузки не делится на активную и пассивные части [1], что позволяет существенно упростить построение соответствующих определяющих уравнений и их использование при решении прикладных задач.
Медленный температурно-скоростной режим деформирования (минуты, часы) дает существенное снижение усилий формообразования [2], сохраняет эксплуатационный ресурс на стадии изготовления, позволяет управлять процессом формообразования и контролировать его. Проигрыш во времени на стадии изготовления дает выигрыш в качестве и ресурсе изготавливаемой детали, причем по некоторым прочностным параметром выигрыш достигает десятикратных величин по сравнению с традиционными методами ОМД (гибкой впередвижку, выколотку по шаблону, дробеударной обработкой, многопереходной штамповкой).
Отсутствие пластических деформаций при формообразовании, как правило, приводит к меньшей поврежденности материала и увеличению показателя деформируемости (относительной степени деформации). В условиях близких к сверхпластичности при Т>0,5Тпл. даже без подготовки ультрамелкозернистой структуры предельная деформация на момент разрушения ε* выше по сравнению с деформацией ε* при «мгновенном» упруго - Рис.1.
пластическом деформировании.
I. На Рис.1 в качестве иллюстрации приведены диаграммы титанового сплава ВТ-20 на растяжение (пруток Ø 42 мм в исходном состоянии) при температуре сверхпластичности 800оС. Сплав деформируется при этой температуре под действием постоянных напряжений
без каких-либо параметров упрочнения-разупрочнения вплоть до разрушения. Диаграмма 1 соответствует упругопластической диаграмме, снятой при средней скорости деформации
10-1с-1, когда можно считать, что деформаций ползучести нет
, величина деформации при разрушении порядка
. Все остальные диаграммы содержат в величине необратимой деформации, составляющую ползучести
, зависящую от реального физического времени. На том же рисунке горизонтальная штриховая соответствует пределу упругости материала
=110 МПа и отделяет «вязкую» область, в которой необратимое деформирование осуществляется только за счет деформаций ползучести
, от «вязкопластической». Диаграммы 2 и 3, расположенные между упругопластической диаграммой и штриховой линией относятся к деформированию в режиме вязкопластичности. Во всех диаграммах 4-6, расположенных ниже штриховой линии, пластических деформаций нет, диаграммы довольно быстро выходят на горизонтальную асимптоту. Величины деформаций при разрушении составляют порядка
.
На диаграмме 7 крестиками в качестве иллюстрации показаны три цикла «нагружение - разгрузка», которые повторяют друг друга, подтверждая тем самым запись определяющего уравнения в виде
без каких-либо параметров упрочнения-разупрочнения, при этом для описания процесса деформирования с постоянной скоростью деформации нет необходимости отслеживать: идет активный процесс или процесс разгрузки (уменьшение напряжений). В вязкопластической области (см. на диаграмме 2 точку В) приходится следить за изменением нагрузки и использовать соотношения, зависящие от того, идет активный процесс или пассивный.
С уменьшением скорости деформирования диаграммы
выходят на горизонтальные асимптоты и становятся похожими на диаграммы деформирования идеально-пластического материала и лишь перед разрушением наблюдается незначительный участок ниспадающей ветви на кривой деформирования.
Действительно, пусть процесс деформирования осуществляется с постоянной скоростью полной деформации
=V=const. Тогда из выражения
(где
- упругая составляющая, Е - модуль упругости материала) следует V=d
/Еdt + d
е/dt. Подставляя d
/dt = Vd
/d
, получим d
/d
= Е(1-
(
,Т)/V). С ростом напряжения при деформировании с постоянной скоростью V увеличивается скорость деформации ползучести
=d
/dt, при некотором его значении производная d
/d
обратится в нуль, т. е. при активном нагружении достигнув уровня напряжения, при котором скорость деформаций ползучести
=φ(
, Т) сравнивается со скоростью полной деформации
=
=V, диаграмма
выходит на горизонтальный уровень. Чем меньше заданная скорость деформирования
=V=const, тем при меньшем значении напряжения диаграмма выйдет на горизонтальный уровень. Сплошными линиями на рисунке показан расчет по степенной зависимости с использованием характеристик «установившейся» ползучести.
Отсюда вывод: для таких материалов, у которых процесс ползучести практически линейный во времени, напряженно-деформированное состояние (НДС) в элементах конструкций будет зависеть от скорости деформирования (нагружения). И другой очевидный вывод: чтобы получать от материала максимальную деформативность при формообразовании и сохранить эксплуатационный ресурс на стадии изготовления процесс следует вести так, чтобы отсутствовала пластическая деформация
, т. е. в режиме ползучести, не выходя по напряжениям из упругой области
.
Аналогичные результаты получены и для другого вида испытаний – на чистое кручение круглых образцов (сдвиговые характеристики являются базовыми – паспортными при формоизменении [3]). Для достижения больших деформаций на кручение испытывались сплошные круглые образцы, так как в экспериментах с однородным НДС на тонкостенных образцах степени деформаций достигаются порядка 7-8% вследствие геометрической потери устойчивости образцов.
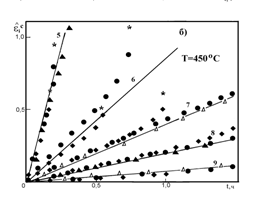
На рис.2б представлены результаты экспериментов на растяжение для сплава АМГ-6М при температуре сверхпластичности 450оС (пруток Ø 45 мм в состоянии поставки), сплошной линией аппроксимация по степенной зависимости. Образцы вырезались из прутка вдоль оси (темные точки), под 45о к оси прутка (ромбики). Треугольниками показаны эксперименты на чистое кручение сплошных образцов с той же величиной интенсивности напряжений в характеристической точке (ХТ) [4] (в точке
2R – внешний диаметр образца). Следует, что материал изотропный без каких-либо эффектов упрочнения-разупрочнения вплоть до разрушения (разрушение отмечено звездочками).
Величины интенсивности напряжений в ХТ:
=19,6; 14,7; 12,25; 9,82; 7,5 МПа (диаграммы 5-9 соответственно).
, где М – действующий внешний момент.


Рис.2
На Рис. 2с показаны экспериментальные (точки) и расчетные значения (пунктир) на кручение сплошного образца с постоянной скоростью угла закручивания
. Скорость задавалась такой, чтобы напряжения в образце не превосходили предела упругости материала. Видно, что незначительный ниспадающий участок наблюдается перед самым разрушением. Расчет проводился методом Рунге-Кутты с разбиением радиуса образца на 31 интервал (показано тонкой сплошной линией) с использованием следующих характеристик: В=5,МПа)-nс-1, n = 4, E = 20 ГПа. На Рис. 2d показаны эпюры напряжений по радиусу образца в различные моменты времени. Штриховой линией приведены результаты экспериментов, рассчитанных по методу ХТ.
Аналогичный результат имеет место и для материалов с наличием первой стадии ползучести и каким-либо изотропным параметром упрочнения, позволяющим наряду с установившимся участком кривой ползучести описывать первую – упрочняющуюся стадию ползучести, например,
. При снятии
диаграммы с заданной скоростью ![]()
кривая деформирования выходит на горизонтальный участок при некотором напряжении
, соответствующим скорости деформации ползучести
на установившемся участке в эксперименте на ползучесть при
со скоростью общей деформации, равной
.
II. Учет разупрочняющейся (III стадии) ползучести проиллюстрируем на примере сплава АК4-1Т при Т=250оС с различными постоянными скоростями угла закручивания сплошных круглых образцов.
На Рис.3а представлены экспериментальные значения интенсивности деформаций ползучести
в ХТ [4], полученные при испытаниях на кручение сплошных образцов сплава при различных напряжениях. Следует отметить, что с уменьшением интенсивности напряжений
величина интенсивности предельных деформаций
уменьшается. Эксперименты обрабатывались по зависимостям с одинаковыми функциями для параметра поврежденности в уравнениях ползучести и повреждаемости [5,6]
(1)
со следующими значениями параметров: ВА = 2,79.10-40 МПа1-n с-1, n = 15, m = 2,
k = 11,5, G = 17 ГПа.
На Рис.3б приведены экспериментальные (точки) и расчетные (сплошные линии) значения крутящего момента для двух значений скорости погонного угла закручивания 
рад/(м. сек) (кривые I, II соответственно). Сплошные линии получены путем интегрирования системы дифференциальных уравнений методом Рунге-Кутты с разбиением сечения образца по радиусу на 31 интервал, штриховые линии соответствуют расчету крутящего момента по методу ХТ напряжения [4]. На Рис.3в показано распределение касательного напряжения по радиусу вала в моменты времени ![]()
(кривые 1-6) для
рад/(м. сек).
а



Рис.3
Следует отметить, что сплав АК4-1Т при температуре старения 195оС (продолжительность процесса деформирования в соответствии с инструкцией ВИАМ не более 13 часов) охрупчивается, т. е. деформации при разрушении уменьшаются с увеличением времени старения (Рис.3а), установившаяся стадия ползучести отсутствует. Видно, что диаграммы
(Рис.3б) после упругого участка нагружения дают сразу ниспадающую ветвь на кривой деформирования (без горизонтальной асимптотики), причем, чем медленнее процесс (кривая II), тем меньше предельная величина деформаций (отмечено звездочками в эксперименте, см. внешние координаты на Рис.3б, пересчитанные для ХТ). И как вывод: для данного сплава формообразование деталей следует проводить в быстром упруго-пластическом режиме с последующей релаксацией при этой температуре. В медленном температурно-скоростном режиме данный сплав рекомендуется формообразовывать при температуре отжига [7] или выше - при температуре сверхпластичности.
III. В заключении рассмотрим деформирование титанового сплава 3В с наличием упрочняющегося участка кривой ползучести при комнатной температуре применительно к оценке исчерпания ресурса на стадии изготовления деталей и остаточного эксплуатационного ресурса после формообразования.
На Рис.4 точками представлены одноосные кривые титанового сплава 3В и их аппроксимация (линии) по зависимостям:
, ![]()
(2)
Для данного материала величина работы рассеяния в момент разрушения
, значит при деформировании в экспериментах с уменьшением
величина
в момент разрушения возрастает в отличие от сплава АК4-1Т.
Коэффициенты уравнений насчитывались в соответствии с данными работы , [8]:
a = 2,5; m = 7; n = k = 51,8;
BА =1,4МДж/(м3 МПаn с);
Bw = 2,205.10-153 МПа - kc-1
На Рис.5 приведены расчетные зависимости «s - e» (а) и «s - t» (б) при постоянных скоростях деформаций, соответствующих скоростям деформаций на установившихся стадиях ползучести для постоянных напряжений в экспериментах, представленных на Рис. 4. Утолщенные сплошные линии - для s = 638 МПа, штриховые – для 618 МПа, тонкие сплошные линии - для 603 МПа. На Рис. 5в и 5г представлены аналогичные результаты для постоянных скоростей деформаций, соответствующих напряжениям 589 МПа (сплошные линии) и 580 МПа (штриховые линии).
|
Из представленных результатов (Рис. 5а, Рис 5в) видно, что площади ограниченные кривыми «s - e» и осью абсцисс для всех приведенных скоростей практически совпадают, подтверждая постоянство удельной работы рассеяния вплоть до разрушения и правильность записи первого (2) уравнения ползучести в энергетических терминах. Скалярный параметр поврежденности хорошо коррелирует с нормированной работой рассеяния или, что то же самое, с относительной степенью деформации
для одноосного случая нагружения.
Заключение. Экспериментально и численными расчетами установлено, что ниспадение на кривой деформирования «s - e» с постоянными скоростями деформаций начинается при величинах деформаций, равных величинам деформаций перехода в третью стадию ползучести при соответствующих постоянных напряжениях (порядка 7-8%). Тем самым подтверждается соответствие ниспадающей ветви кривой деформирования «s - e» разупрочняющемуся участку кривой ползучести.
Литература
. Автореферат диссертации д. т.н. Высокотемпературная ползучесть конструкционных сплавов и ее приложение к формообразованию крупногабаритных деталей. 2003г ИГиЛ СО РАН, Новосибирск.32с , ., ., . Патент РФ № 000. Способ формообразования деталей двойной кривизны и устройство для его осуществления. 1994. № 11. С.21 . Пр-т 20.05.83. . Вопросы твердости твердых тел и горных пород. Сборник статей к 75-летию . М.: ФИЗМАТЛИТ. 20с. – ISBN -4. . К оценке ползучести и длительной прочности элементов конструкций по методу характеристических параметров. Журнал «Проблемы прочности, Наукова думка. Киев. 1979. №4. С.30-36. ., . К описанию процесса ползучести и длительной прочности по уравнениям с одним скалярным параметром повреждаемости. Прикл. механика и техн. физика.1994. Т.35. №5. С.92-102. B. V.Gorev., I. D.Klopotov., I. V.Lyubashevskaya. Creep and damage behavior of AK4-1T and VT-9 alloy under different stress states // Theoretikal and Applied Fracture Mechanic., № 29. Elsevier Science. Amsterdam. 1998. P.1-10.7. , , . К вопросу об использовании ползучести в технологии
формообразования изделий. Динамика сплошной среды. ИГ СО АН, 1977 ,вып.30. С. 141-145.
8. , . Энергетический вариант теории ползучести и длительной прочности. Сообщение 2. Ползучесть и разрушение материалов с начальным упрочнением. Проблемы прочности. Наукова думка. Киев. 1974. № 1 С.43-48.





