1. Тепловое излучение. Основные характеристики теплового излучения. Абсолютно черное тело. Закон Кирхгофа
Электромагнитное излучение, возникающее за счет внутренней энергии излучающего тела, называется тепловым излучением. Оно определяется температурой и оптическими свойствами тела.
Основные характеристики теплового излучения:
1) Энергетическая светимость Me [Вт/м2] – количество энергии, излучаемой за единицу времени по всем направлениям с единицы площади поверхности тела во всем диапазоне длин волн.
2) Спектральная плотность энергетической светимости Mλ,T [Вт/м3] – количество энергии, излучаемой за единицу времени по всем направлениям с единицы площади поверхности тела в единичном диапазоне длин волн.
Энергетическая светимость и спектральная плотность энергетической светимости связаны следующим образом:
Mλ,T = dMe/dλ; Me =
λ,T dλ .
Тело, которое при всех температурах полностью поглощает все падающее на него излучение во всем диапазоне длин волн, называется абсолютно черным. Спектральный коэффициент поглощения абсолютно черного тела равен единице для всех длин волн, т. е.: aλ,T = aT = 1.
Спектральная плотность энергетической светимости Mλ,T и коэффициент поглощения aλ,T любого тела связаны соотношением, называемым законом Кирхгофа: в состоянии теплового равновесия отношение спектральной плотности энергетической светимости к спектральному коэффициенту поглощения не зависит от природы тела и является для всех тел одной и той же универсальной функцией, равной спектральной плотности энергетической светимости абсолютно черного тела: (Mλ,T /aλ,T)1 = (Mλ,T /aλ,T)2 = Moλ,T.
Следствия из закона Кирхгофа:
1) Всякое тело при данной температуре излучает преимущественно лучи тех же длин волн, которые сильнее всего поглощает.
2) Из всех тел при одной и той же температуре абсолютно черное тело обладает наибольшей спектральной плотностью энергетической светимости для любой длины волны излучения.
2. Законы излучения абсолютно черного тела (Стефана – Больцмана и Вина). Гипотеза и формула Планка для абсолютно черного тела
1) Закон Стефана – Больцмана: Энергетическая светимость абсолютно черного тела пропорциональна четвертой степени абсолютной температуры: M0e = σT4, где σ = 5,67 · 10-8 Вт/(м2 · К4) – постоянная Стефана – Больцмана.
2) Закон смещения Вина: длина волны λ’, на которую приходится максимум излучения в спектре абсолютно черного тела, обратно пропорциональна абсолютной температуре: λ’ = b/T, где
b = 2,9 · 10-3 м·К. Теоретически излучение абсолютно черного тела было исследовано и рассчитано Планком в 1900 году, который впервые предположил, что энергия испускается в виде отдельных порций: постулат Планка. Постулат Планка: ε = hv, где
h = 6,626 · 10-34 Дж·с – постоянная Планка.
Формула Планка для расчета спектральной плотности энергетической светимости абсолютно черного тела имеет вид: Moλ,T = 2πhc2/λ5 · 1/exp(hc/λkT)-1, где c = 3·108 м/с – скорость света в вакууме, k = 1,38·10-23 Дж/К – постоянная Больцмана.
3. Фотоны. Энергия, масса и импульс фотона
Фотон – элементарная частица, квант электромагнитного излучения.
Энергия фотона: ε = hv, где h = 6,626 · 10-34 Дж·с – постоянная Планка.
Масса фотона: m = h·v/c2. Эта формула получается из формул
ε = hv и ε = m·c2. Масса, определяемая формулой m = h·v/c2, является массой движущегося фотона. Фотон не имеет массы покоя (m0 = 0), так как он не может существовать в состоянии покоя.
Импульс фотона: Все фотоны движутся со скоростью с = 3·108 м/с. Очевидно импульс фотона P = m·c, откуда следует, что
P = h·v/c = h/λ.
4. Внешний фотоэффект. Вольтамперная характеристика фотоэффекта. Законы Столетова. Уравнение Эйнштейна
Внешним фотоэффектом называется явление испускания электронов веществом под действием света.
Зависимость тока от напряжения в цепи называется вольтамперной характеристикой фотоэлемента.
1) Количество фотоэлектронов N’e, вырываемых из катода за единицу времени, пропорционально интенсивности света, падающего на катод (закон Столетова). Или иначе: ток насыщения пропорционален мощности падающего на катод излучения: Ńф = P/εф.
2) Максимальная скорость Vmax, которую имеет электрон на выходе из катода, зависит только от частоты света ν и не зависит от его интенсивности.
3) Для каждого вещества существует граничная частота света ν0, ниже которой фотоэффект не наблюдается: v0 = Aвых/h. Уравнение Эйнштейна: ε = Aвых + mv2max/2, где ε = hv – энергия поглощенного фотона, Aвых – работа выхода электрона из вещества, mv2max/2 – максимальная кинетическая энергия вылетевшего электрона.
Уравнение Эйнштейна, по сути, представляет собой одну из форм записи закона сохранения энергии. Ток в фотоэлементе прекратится, если все вылетающие фотоэлектроны затормозятся, не долетев до анода. Для этого к фотоэлементу необходимо приложить обратное (задерживающее) напряжение u, величина которого также находится из закона сохранения энергии: |e|uз = mv2max/2.
5. Давление света
Давление света — давление, которое оказывает свет, падающий на поверхность тела.
Если рассматривать свет как поток фотонов, то, согласно принципам классической механики, частицы при ударе о тело должны передавать импульс, другими словами — оказывать давление. Такое давление иногда называют радиационным давлением. Для вычисления давления света можно воспользоваться следующей формулой:
p = W/c (1+p), где W - количество лучистой энергии, падающей нормально на 1 м2 поверхности за 1 с; c— скорость света, p - коэффициент отражения.
Если свет падает под углом к нормали, то давление можно выразить формулой:
![]()
6. Комптон – эффект и его объяснение
Эффект Комптона (Комптон-эффект) — явление изменения длины волны электромагнитного излучения вследствие рассеивания его электронами.
Для рассеяния на покоящемся электроне частота рассеянного фотона:
![]()

где
— угол рассеяния (угол между направлениями распространения фотона до и после рассеяния).
Комптоновская длина волны - параметр размерности длины, характерный для релятивистских квантовых процессов.
λС = h/m0ec = 2,4∙10-12м – комптоновская длина волны электрона.
Объяснение эффекта Комптона невозможно в рамках классической электродинамики. С точки зрения классической физики электромагнитная волна является непрерывным объектом и в результате рассеяния на свободных электронах изменять свою длину волны не должна. Эффект Комптона является прямым доказательством квантования электромагнитной волны, другими словами подтверждает существование фотона. Эффект Комптона является ещё одним доказательством справедливости корпускулярно-волнового дуализма микрочастиц.
7. Корпускулярно-волновой дуализм материи. Гипотеза де Бройля, ее экспериментальное подтверждение.
Корпускулярно-волновой дуализм — это теория о том, что свет представляется на микроуровне одновременно и как мельчайшие частицы (корпускулы), и как волны. В частности, свет — это и корпускулы (фотоны), и электромагнитные волны.
В 1923 году французский ученый Луи де Бройль выдвинул гипотезу об универсальности корпускулярно-волнового дуализма. Он утверждал, что не только фотоны, но и электроны и любые другие частицы материи наряду с корпускулярными обладают также волновыми свойствами.
Согласно де Бройлю, с каждым микрообъектом связываются, с одной стороны, корпускулярные характеристики — энергия E и импульс p, а с другой стороны — волновые характеристики — частота и длина волны.
В 1948 году это удалось экспериментально подтвердить советскому физику . Он показал, что даже в случае столь слабого электронного пучка, когда каждый электрон проходит через прибор независимо от других, возникающая при длительной экспозиции дифракционная картина не отличается от дифракционных картин, получаемых при короткой экспозиции для потоков электронов в десятки миллионов раз более интенсивных.
8. Волны де Бройля. Статистический смысл волн де Бройля, свойства волн.
Волны де Бройля — волны, связанные с любой микрочастицей и отражающие их квантовую природу. Любая движущаяся частица (например, электрон) ведёт себя не только как локализованный в пространстве перемещающийся объект - корпускула, но и как волна, причём длина этой волны даётся формулой
= h/р, где h = 6.6.10-34 Дж. сек – постоянная Планка, а р – импульс частицы. Эта волна и получила название волны де Бройля.
Согласно статистической интерпретации волны де Бройля следует рассматривать как волны вероятности. Более определенно: интенсивность волны де Бройля в каком-либо месте пространства пропорциональна вероятности обнаружить частицу в этом месте.
Свойства волн де Бройля:
1) Фазовая скорость волны де Бройля вычисляется в результате дифференцирования этого уравнения по времени: E – p dx/dt = 0,. υф = dx/dt = E/p = mc2/mυ = c c/υ, где υ-скорость частицы. Т. к. υ<c, то фазовая скорость волн де Бройля всегда больше скорости света в вакууме, т. е. υф > c.
Это соотношение отражает особое специфическое свойство волн де Бройля.
2) Групповая скорость волн де Бройля равна скорости движения частиц: υr = ds/dt = υ.
3) Длинам боровских орбит соответствуют стоячие волны де Бройля, т. е. в длину боровской орбиты укладывается целое число стоячих волн де Бройля: 2πrn = nλ.
9. Соотношения неопределенностей Гейзенберга, их физическое содержание
Принцип неопределённости Гейзенберга - в квантовой механике так называют принцип, дающий нижний (ненулевой) предел для произведения дисперсий величин, характеризующих состояние системы.
Соотношения неопределённости Гейзенберга — это теоретический предел точности любых измерений. Они справедливы для так называемых идеальных измерений, иногда называемых измерениями фон Неймана. Они тем более справедливы для неидеальных измерений или измерений Ландау.
Соответственно, любая частица (в общем смысле, например несущая дискретный электрический заряд) не может быть описана одновременно как «классическая точечная частица» и как волна. (Сам факт того, что какое-либо из этих описаний может быть справедливо, по крайней мере в отдельных случаях, называют корпускулярно-волновым дуализмом). Принцип неопределённости, в виде, первоначально предложенном Гейзенбергом, верен в случае, когда ни одно из этих двух описаний не является полностью и исключительно подходящим, например частица в коробке с определённым значением энергии; то есть для систем, которые не характеризуются ни каким-либо определённым «положением» (какое-либо определённое значение расстояния от потенциальной стенки), ни каким-либо определённым значением импульса (включая его направление).
Соотношение неопределенности Гейзенберга показывает, что “между точностью, с которой одновременно может быть установлено положение частицы, и точностью ее импульса существует определенное соотношение”:
q
p ≥ h,
где
- среднеквадратичное отклонение.
10. Статистический смысл и свойства волновой функции. Уравнение Шредингера в стационарной форме, смысл входящих величин
Волновая функция имеет статистический смысл: квадрат модуля волновой функции определяет плотность вероятности нахождения частицы (электрона): dw/dV = |Ψ|2.
Здесь dw вероятность нахождения частицы в элементе объема от V до V+dV.
Свойства волновой функции:
1) Правило нормировки:

Правило выражает тот факт, что вероятность обнаружить частицу с данной волновой функцией во всем пространстве равна единице.
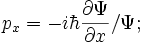
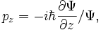
2) Импульс частицы в каждом из направлений x, y, z пропорционален первой производной волновой функции, делённой на саму волновую функцию, а именно:
![]()
где px , py , pz — проекции импульсов на соответствующие оси координат, i = √-1 - мнимая единица, ħ = h/2π - постоянная Планка.
3) Кинетическая энергия частицы (p2x + p2y + p2z) / 2m пропорциональна второй производной, или кривизне волновой функции, деленной на эту волновую функцию
.
Стационарное уравнение Шредингера для движения электрона в кулоновском поле ядра атома водорода и водородоподобных атомов имеет вид: ∆ψ + (8π2m/h2)(E-U)Ψ = 0,
где Ψ – волновая функция, ∆ - оператор Лапласа, Е – полная энергия электрона в атоме, U = -(Ze2/4πε0r) – потенциальная энергия.
11. Частица в бесконечно глубокой одномерной потенциальной яме. Квантование энергии частицы. Собственные значения волновой функции
Потенциальная яма – область пространства, где присутствует локальный минимум потенциальной энергии частицы.
Используя граничные условия, имеем:
Ψ(x = 0) = a sin α = 0 Отсюда, α = 0
Ψ(x = 1) = a sin ωl = 0 Отсюда, ωl = ± nπ (n = 1,2, …)
Учитывая значения ω, получим:
En = ħ2π2/2ml n2 (n = 1, 2, …)
En – собственные значения энергии.
Принцип квантования энергии гласит, что любая система взаимодействующих частиц, способная образовывать стабильное состояние - будь то кусок твердого тела, молекула, атом или атомное ядро, - может сделать это только при определенных значениях энергии.
12. Прохождение частиц через полубесконечный потенциальный барьер высотой U0 (E < U0)
Если энергия частицы недостаточна для преодоления барьера,
E < U0, то в некоторой точке x1 частица, движущаяся слева направо, останавливается и затем движется в обратном направлении. То есть потенциальный барьер является как бы непрозрачной стенкой, барьером, для частиц с энергией, меньшей высоты потенциального барьера.
В квантовой механике, в отличие от классической, возможно прохождение через потенциальный барьер частиц с энергией
E < U0 . Такие особенности поведения частиц в квантовой физике непосредственно связаны с корпускулярно-волновой природой микрочастиц.
13. Прохождение частиц через полубесконечный потенциальный барьер высотой U0 (E > U0)
В классической механике прохождение частицы через потенциальный барьер возможно лишь в том случае, если её полная (кинетическая + потенциальная) энергия E превышает высоту потенциального барьера: E > U0; тогда частица пролетает над барьером.
В квантовой механике, в отличие от классической, возможно отражение от потенциального барьера. частиц с энергией E > V0 .
Такие особенности поведения частиц в квантовой физике непосредственно связаны с корпускулярно-волновой природой микрочастиц.
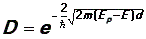
14. Туннельный эффект. Коэффициент прозрачности барьера
Туннельный эффект - преодоление микрочастицей потенциального барьера в случае, когда её полная энергия (остающаяся при туннелировании неизменной) меньше высоты барьера. Туннельный эффект — явление исключительно квантовой природы, невозможное в классической механике; аналогом туннельного эффекта в волновой оптике может служить проникновение световой волны внутрь отражающей среды (на расстояния порядка длины световой волны) в условиях, когда, с точки зрения геометрической оптики, происходит полное внутреннее отражение.
Коэффициент прозрачности барьера D: ![]()
Коэффициент прозрачности характеризует вероятность прохождения частицы сквозь барьер. Эта вероятность очень сильно зависит от толщины барьера d: чем толще барьер, тем меньше вероятность туннельного эффекта.
15. Квантово-механический осциллятор
Квантовым гармоническим осциллятором называется система, способная совершать гармонические колебания.
Гармоническим осциллятором называется система, способная совершать гармонические колебания:
h2/2m = ∆ψ + V (x, y, z) ψ = Eψ.
Это волновое уравнение описывает взаимодействие волны и корпускулы в гармоническом в квантовом гармоническом осцилляторе, который находится в стационарном состоянии и в котором энергия E механического движения существует в определенном пространстве неопределенное время в соответствии со всеобщим соотношением неопределенностей пространства и времени.
Именно поэтому в этом волновом уравнении наглядно показана зависимость потенциала V от определенных числовых значений координат определенного пространства осциллятора и не зависит от числовых значений координаты неопределенного времени. Определенная энергия E осциллятора имеет три пространственные формы своего выражения: общую, особенную и единичную.
16. Модель атома Бора. Постулаты Бора. Спектр излучения атома водорода. Недостатки теории Бора. Опыт Франка – Герца
Модель Бора выявила истинное значение спектральных законов и позволила установить, как эти законы отражают квантовый характер внутренней структуры атома - устойчивость структуры атома оказалась неразрывно связанной с существованием квантов. В модели Бора каждый атом обладает некоторой последовательностью квантовых (стационарных) состояний. Каждый вид атома имеет свою последовательность квантовых значений энергии, соответствующих различным возможным стационарным состояниям.
Постулаты Бора:
1) В атоме существует ряд дискретных стационарных состояний, которым соответствуют определенные значения энергии атома E1, E2 и т. д. В стационарном состоянии атом не излучает и не поглощает энергии.
2) Переходя из одного стационарного состояния в другое, атом излучает и поглощает квант энергии ε = hv, равный разности энергий En и En' двух стационарных состояний: hv = En' - En.
Атом водорода (Z = 1) имеет наиболее простой линейчатый спектр излучения. Частоты спектральных линий для атома водорода и водородоподобных атомов определяются по формуле: v = Rv(1/n2 – 1/n'2), где Rv = Z2me4/8ε02h3 = 3,29 · 1015 с-1 – постоянная Ридберга.
Также эта формула может быть записана через длину волны λ: 1/λ = Rλ(1/n2 – 1/n'2), где Rλ = 1,097 · 107 м-1.
Недостатки теории Бора:
- не смогла объяснить интенсивность спектральных линий.
- справедлива только для водородоподобных атомов и не работает для атомов, следующих за ним в таблице Менделеева.
- теория Бора логически противоречива: не является ни классической, ни квантовой. В системе двух уравнений, лежащих в её основе, одно - уравнение движения электрона - классическое, другое - уравнение квантования орбит - квантовое.
Опыт Франка - Герца - опыт, явившийся экспериментальным доказательством дискретности внутренней энергии атома.
В опыте наблюдался монотонный рост I при увеличении ускоряющего потенциала вплоть до 4,9 в, то есть электроны с энергией Е < 4,9 эв испытывали упругие соударения с атомами Hg и внутренняя энергия атомов не менялась. При значении V = 4,9 в (и кратных ему значениях 9,8 в, 14,7 в) появлялись резкие спады тока. Это определённым образом указывало на то, что при этих значениях V соударения электронов с атомами носят неупругий характер, т. е. энергия электронов достаточна для возбуждения атомов Hg. При кратных 4,9 эв значениях энергии электроны могут испытывать неупругие столкновения несколько раз.
Таким образом, опыт Франка - Герца показал, что спектр поглощаемой атомом энергии не непрерывен, а дискретен, минимальная порция (квант электромагнитного поля), которую может поглотить атом Hg, равна 4,9 эВ. Значение длины волны λ = 253,7 нм свечения паров Hg, возникавшее при V > 4,9 В, оказалось в соответствии со вторым постулатом Бора.
17. Квантовомеханическая теория атома водорода. Уравнение Шредингера для атома водорода, анализ его решения. Собственные значения энергии электрона в атоме. Потенциал ионизации
Уравнение Шредингера для атома водорода:

где ψ - волновая функция (аналог амплитуды для волнового движения в классической механике), которая характеризует движение электрона в пространстве как волнообразное возмущение; x, y, z - координаты, m - масса покоя электрона, h - постоянная Планка, E - полная энергия электрона, Ep - потенциальная энергия электрона.
Анализ решения уравнения Шредингера дает следующие результаты:
1. Электрон в атоме может иметь только определенные дискретные (квантованные) значения энергии, которые совпадают с выражением
E=-(Z2me4/8ε02h2n2),
где n – главное квантовое число.
2. Орбитальный момент импульса L электрона в атоме также может принимать лишь ряд дискретных значений
L=(h/2π)√l(l+1),
Где l – орбитальное квантовое число.
3. Проекция орбитального момента импульса Lz на выбранное направление OZ (например, направление внешнего магнитного поля) тоже квантуется
Lz=(h/2π)m,
где m – магнитное квантовое число.
Потенциал ионизации - разность электрических потенциалов, ускоряющая электрон до энергии, равной работе ионизации. Потенциал ионизации измеряется в вольтах и является индивидуальной характеристикой вещества. Различают:
- первый потенциал ионизации, позволяющий оторвать один электрон от нейтрального невозбужденного атома;
- второй потенциал ионизации, позволяющий оторвать два электрона;
- третий потенциал ионизации, позволяющий оторвать два электрона и т. д.
18. Квантование энергии, момента импульса и проекции момента импульса электрона в атоме водорода
Электрон в атоме может иметь только определенные дискретные (квантованные) значения энергии, которые совпадают с выражением
E=-(Z2me4/8ε02h2n2),
где n – главное квантовое число.
2. Орбитальный момент импульса L электрона в атоме также может принимать лишь ряд дискретных значений
L=(h/2π)√l(l+1),
Где l – орбитальное квантовое число.
3. Проекция орбитального момента импульса Lz на выбранное направление OZ (например, направление внешнего магнитного поля) тоже квантуется
Lz=(h/2π)m,
где m – магнитное квантовое число.
Дальнейшие исследования показали, что помимо указанных орбитальных характеристик электрон обладает также собственным моментом импульса Ls.
19. Кратность вырождения уровней энергий. Символика обозначения квантовых состояний
Вырождение энергетических уровней - существование двух или более стационарных состояний квантовой системы (атома, молекулы) с одинаковыми значениями энергии. Система, полная энергия которой определяется заданием оператора Я (гамильтониана), может иметь т стационарных состояний, для которых уравнение Шредингера Hφi = Eφi определяет соответствующие волновые функции φi (i = 1, 2, ..., т) и одно значение энергии Е, одинаковое для всех т состояний. Энергетический уровень с энергией Е при m ≠ 1 называется вырожденным, число т различных независимых волновых функций - кратностью вырождения уровня. О состояниях с волновыми функциями φi говорят как о состояниях, вырожденных по энергии, или вырожденных состояниях. Если одному значению энергии отвечает одно состояние, т. е. m=1, уровень наз. невырожденным.
Для обозначения квантовых состояний с заданным значением орбитального квантового числа l используют следующие спектроскопические символы:
l
Обозначение s p q f
подоболочки
Для обозначения квантовых состояний с заданным значением главного квантового числа n используют следующие спектроскопические символы:
n
Обозначение K L M N
оболочки
20. Магнитные свойства атома. Спин электрона. Орбитальные и спиновые характеристики электрона в атоме. Опыт Штерна – Герлаха
В соответствии с классической электродинамикой, движущийся по замкнутой траектории электрон, будучи подобен току, возбуждает в окружающем пространстве магнитное поле, и имеет магнитный момент, величина которого определяется по формуле
, где s – площадь, охватываемая орбитой электрона;n – единичный нормальный к s вектор;
I – сила тока, причем ток направлен противоположно направлению скорости электрона;
Так как
то Pm может принимать значения:
где магнетон Бора.
.
Это значение магнитного момента, которое имел бы атом водорода, если бы электрон был классической частицей и вращался по первой боровской орбите. Таким образом, магнитный момент, как физическая величина квантуется подобно механическому моменту и может принимать лишь значения кратные магнетону Бора.
Спин - собственный момент импульса (или магнитный момент) элементарных частиц, имеющий квантовую природу и не связанный с перемещением частицы как целого.
Отношение величины магнитного момента к величине спина называется гиромагнитным отношением, и, в отличие от орбитального углового момента, оно не равно магнетону (μ0):
Введённый здесь множитель g называется g-фактором частицы;
Спин электрона равен 1/2.
Орбитальное квантовое число l определяет значение орбитального момента количества движения электрона на данной орбитали. Допустимые значения: 0, 1, 2, 3,...n-1.
Орбитальное квантовое число определяет форму поверхности максимальной вероятности нахождения электрона и ее симметрию.
Спиновое квантовое число ms. Каждый электрон также характеризуется собственным механическим моментом движения, который получил название speen. Спиновое квантовое число ms имеет только два значения +1/2 и -1/2, которые связаны с его направлением.
Наличие у атомов магнитных свойств и явление пространственного квантования (квантование проекции момента импульса) были обнаружены в опытах Штерна и Герлаха ( гг.) еще до появления квантовой механики. Как известно, на магнитный момент в неоднородном магнитном поле действует сила, определяемая соотношением:
F= μz дН/дZ
которая отклоняет его от первоначального направления движения. Если проекция магнитного момента атома могла бы изменяться непрерывно, то на пластинке П наблюдалась бы размытая широкая полоса. Однако в Ш.— Г. о. было обнаружено расщепление пучка атомов на 2 компоненты, симметрично смещенные относительно первичного направления распространения на величину Δ — на пластинке появлялись две узкие полосы. Это указывало на то, что проекция магнитного момента атома μz на направление поля Н принимает только два отличающиеся знаком значения ±μo, т. е. μo ориентируется вдоль Н и в противоположном направлении. Величина магнитного момента атома μо, измеренная в опыте по смещению Δ, оказалась равной Бора магнетону.
21. Полный набор квантовых чисел электронов в атоме, их физический смысл
Состояние электрона в атоме определяется набором четырех квантовых чисел, каждое из которых может принимать определенные значения:
Главное квантовое число: n = 1,2,3,…
Орбитальное квантовое число: l = 0,1,2,…,(n-1).
Магнитное квантовое число: m = 0,±1,±2,…,±l.
Спиновое квантовое число: ms = ±1/2
Физический смысл полного набора квантовых чисел электронов в атоме – порядковый номер электронного уровня, определение состояния электрона в атоме, описание электронных оболочек атомов. Каждый электрон в атоме имеет свой собственный «адрес», записанный набором четырех квантовых чисел.
22. Спектр излучения атома водорода. Правила отбора квантовых чисел. Серии излучения атома водорода
Атом водорода (Z = 1) имеет наиболее простой линейчатый спектр излучения. Частоты спектральных линий для атома водорода и водородоподобных атомов определяются по формуле: v = Rv(1/n2 – 1/n'2), где Rv = Z2me4/8ε02h3 = 3,29 · 1015 с-1 – постоянная Ридберга.
Также эта формула может быть записана через длину волны λ: 1/λ = Rλ(1/n2 – 1/n'2), где Rλ = 1,097 · 107 м-1.
Правила отбора – правила, которые на основе законов сохранения квантовых чисел устанавливают допустимые процессы с участием микросистем (молекул, атомов, ядер, элементарных частиц). Любая микросистема характеризуется определённым набором квантовых чисел. В изолированном состоянии эти квантовые числа у микросистемы остаются неизменными, поскольку являются проявлением соответствующих законов сохранения. Так электрический заряд или полный угловой момент
(момент количества движения) изолированной системы не изменяются, так как существуют законы сохранения электрического заряда и углового момента.
В нагретом до высокой температуры водороде можно наблюдать характерный линейчатый спектр. Все спектральные линии группируются в серии в зависимости от того, на какой энергетический уровень переходят электроны.
![C:\Documents and Settings\OLEG\Рабочий стол\spektr_izlucheniya_atoma_vodoroda[1].jpg](/text/78/367/images/image025_7.jpg)
Переходы в первые возбужденные состояния на второй энергетический уровень с верхних уровней образуют серию Бальмера (n = 2), при переходе на первый энергетический уровень с n = 1 образуют серию Лаймана.
23. Символика обозначений квантовых состояний. Понятие о вырождении. Принцип Паули. Периодическая система Менделеева
Для обозначения квантовых состояний с заданным значением орбитального квантового числа l используют следующие спектроскопические символы:
l
Обозначение s p q f
подоболочки
Для обозначения квантовых состояний с заданным значением главного квантового числа n используют следующие спектроскопические символы:
n
Обозначение K L M N
оболочки
Энергетический уровень квантовой системы называется вырожденным, если содержит более одного состояния. Говоря математически, соответствующее значение энергии является кратным собственным значением оператора гамильтониана.
Количество независимых таких состояний (т. е. кратность собственного значения) называется кратностью вырождения.
Для многоэлектронных атомов выполняется принцип запрета Паули: в одном и том же атоме не может быть двух электронов, обладающих одинаковым набором четырех квантовых чисел.
Периодическая система химических элементов (таблица Менделеева) — классификация химических элементов, устанавливающая зависимость различных свойств элементов от числа протонов в атомном ядре. Система является графическим выражением периодического закона, установленного русским химиком Д. И. Менделеевым в 1869 году.
В современном варианте системы предполагается сведение элементов в двухмерную таблицу, в которой каждый столбец (число столбцов составляет 8) определяет основные физико-химические свойства, а строки представляют собой периоды, в определённой мере подобные друг другу.
24. Магнитный момент атома. Атом в магнитном поле. Эффект Зеемана.
Магнитный момент, основная величина, характеризующая магнитные свойства вещества. Магнитным моментом обладают элементарные частицы, атомные ядра, электронные оболочки атомов и молекул. Магнитный момент элементарных частиц (электронов, протонов, нейтронов и других), как показала квантовая механика, обусловлен существованием у них собственного механического момента — спина. Механический момент ядер складываются из собственных (спиновых) магнитных моментов, образующих эти ядра протонов и нейтронов, а также магнитный момент, связанных с их орбитальным движением внутри ядра. Магнитный момент электронных оболочек атомов и молекул складываются из спиновых и орбитальных магнитных моментов электронов.
При внесении атома в магнитное поле с индукцией B на электрон, движущийся по орбите, эквивалентной замкнутому контуру с током, действует момент сил M:
, при этом изменяется орбитальный момент импульса электрона:
,
аналогично изменяется вектор орбитального магнитного момента электрона:
, из этого следует, что векторы Le и Pm, и сама орбита прецессирует вокруг направления вектора B. Эта прецессия называется ларморовской прецессией. Угловая скорость этой прецессии ωL зависит только от индукции магнитного поля и совпадает с ней по направлению. 
Эффектом Зеемана называют расщепление энергетических уровней атома под действием магнитного поля. Следствием расщепления уровней является расщепление спектральных линий в атомных спектрах излучения и поглощения.
25. Рентгеновское излучение. Тормозное и характеристическое излучение. Закон Мозли.
Рентгеновское излучение — электромагнитные волны, энергия фотонов которых лежит на энергетической шкале между ультрафиолетовым излучением и гамма-излучением, что соответствует длинам волн от 10−4 до 10² Å (от 10−14 до 10−8 м).
Тормозное излучение возникает при торможении электронов антикатодом рентгеновской трубки. Оно разлагается в сплошной спектр, имеющий резкую границу со стороны малых длин волн. Положение этой границы определяется энергией падающих на вещество электронов и не зависит от природы вещества.
Характеристические рентгеновские лучи образуются при выбивании электрона одного из внутренних слоёв атома с последующим переходом на освободившуюся орбиту электрона с какого-либо внешнего слоя. Они обладают линейчатым спектром, аналогичным оптическим спектрам газов.
Закон Мозли - закон, связывающий частоту спектральных линий характеристического рентгеновского излучения химического элемента с его порядковым номером. Согласно Закону Мозли, корень квадратный из частоты n спектральной линии характеристического излучения элемента есть линейная функция его порядкового номера Z:
, где R — постоянная Ридберга, Sn — постоянная экранирования, n — главное квантовое число.
26. Молекулы. Энергия молекул. Молекулярные спектры.
Молекула — частица, образованная двумя или большим количеством атомов, характеризующаяся определённым количеством входящих в неё атомных ядер и электронов, а также определённой структурой.
Энергия свободной молекулы состоит из энергии поступательного движения молекулы как единого целого, энергии колебания атомов внутри молекулы, энергии вращения целой молекулы и ее частей относительно друг друга, энергии электронного возбуждения молекулы (энергия движения электронов в молекуле) и внутриядерной энергии:
Е=Епост +Евр+Екол +Еэл +Еяд.
Молекулярные спектры - спектры испускания и поглощения электромагнитного излучения и комбинацию рассеяния света, принадлежащие свободным или слабо связанным молекулам. Имеют вид совокупности полос (линий) в рентгеновской, УФ - видимой, ИК и радиоволновой областях спектра. Положение полос (линий) в спектрах испускания и поглощения характеризуется частотами v и волновыми числами υ; оно определяется разностью энергий Е' и Е: тех состояний молекулы, между которыми происходит квантовый переход: ![]()
27. Физические принципы работы лазеров.
Для эффективного использования света в технике связи и других областях науки и техники надо добиться синхронного и синфазного (одинакового по фазе) излучения атомов, т. е. так называемого когерентного излучения. Если число возбужденных атомов равно числу невозбужденных, то никакого усиления света не получится, так как число фотонов, поглощенных невозбужденными атомами, будет равно числу фотонов, излученных возбужденными атомами. Следовательно, для усиления света и получения когерентного излучения необходимо, чтобы число возбужденных атомов было больше числа атомов, находящихся в основном, невозбужденном состоянии. Другими словами, должна быть так называемая инверсия населенности энергетических уровней. В отличие от состояния, когда атомы не возбуждены и электроны находятся на основных орбитах (на более низких уровнях), необходимо в большинстве атомов переместить электроны на более удаленные от ядра орбиты (на более высокие уровни), т. е. возбудить большинство атомов. Чтобы усиление света происходило в течение необходимого промежутка времени, надо все это время сохранять инвертированное состояние вещества, т. е. все время должно быть большое количество возбужденных атомов. Для этого надо к данному веществу, называемому активной средой или рабочим веществом, подводить энергию, вызывающую возбуждение атомов.
28. Твердое тело. Образование энергетических зон в твердом теле. Зона проводимости, валентная зона, запрещенная зона. Энергетическая схема твердого тела для металлов, полупроводников, диэлектриков.
Твёрдое тело — одно из агрегатных состояний вещества, характеризующееся сопротивлением деформации и изменению объёма.
Образование энергетических зон в твердом теле можно представить следующим образом. Вначале предположим, что кристалл равномерно растянут так, что межатомные расстояния в нем очень велики. Тогда разрешенные уровни для электронов совпадут с атомными уровнями, которые для простоты будем предполагать невырожденными. В кристалле, состоящем из N атомов, каждый атомный уровень становится N-кратно вырожденным. Если затем начать постепенно уменьшать межатомные расстояния в кристалле, то вследствие растущего взаимодействия атомов друг с другом каждый уровень расщепится на серию N различных по энергии уровней. Вместо каждого N-кратно вырожденного уровня получаем зону энергий, содержащую N плотно размещенных уровней В случае глубоколежащих атомных уровней возмущение оказывается слабым по сравнению с силами взаимодействия между электроном и ядром; соответственно и расщепление этих уровней будет мало.
Зона проводимости — в зонной теории твёрдого тела первая из незаполненных электронами зон в полупроводниках и диэлектриках.
Валентная зона — энергетическая область разрешённых электронных состояний в твёрдом теле, заполненная валентными электронами.
Запрещённая зона — область значений энергии, которыми не может обладать электрон в идеальном (бездефектном) кристалле.

29. Квантовая модель свободных электронов в металлах. Распределение электронов по энергиям. Уровень Ферми.
Модель свободных электронов в металлах предполагает, что при образовании кристаллической решетки от атомов отщепляются некоторые слабее всего связанные с ними (валентные) электроны. Отщепленные электроны становятся общими для всех атомов и могут свободно перемещаться в кристалле. Именно эти электроны, в отличие от электронов, заполняющих внутренние электронные оболочки атомов, обеспечивают электропроводность металлов. Поэтому их называют электронами проводимости.
При 0 К энергия всех электронов меньше энергии Ферми. Ни один из электронов покинуть кристалл не может и никакой термоэлектронной эмиссии не наблюдается. С увеличением температуры возрастает число термически возбужденных электронов, способных выйти из металла, что обусловливает явление термоэлектронной эмиссии.
Уровень Ферми - уровень энергии, ниже которого все состояния при T = 0K заняты электронами.
30. Функция Ферми – Дирака. Энергия Ферми. Понятие вырожденного и невырожденного электронного газа. Условие вырождения.
Функция Ферми-Дирака описывает равновесное состояние электронов. Если при какой-то температуре электронов нет, то будет происходить термогенерация электронов и дырок, и постепенно они распределятся по функции Ферми-Дирака.
В физике, энергия Ферми (EF) системы невзаимодействующих фермионов — это увеличение энергии основного состояния системы при добавлении одной частицы. Это эквивалентно химическому потенциалу системы в ее основном состоянии при абсолютном нуле температур.
Вырожденный газ — газ, на свойства которого существенно влияют квантовомеханические эффекты, возникающие вследствие тождественности его частиц. В собственных полупроводниках электронный или дырочный газ в, соответственно, зоне проводимости или валентной зоне, невырожденный.
Условия вырождения выполняются при достаточно низкой температуре T (для идеального газа v≈√T ) и высокой концентрации частиц.
31. Плотность электронных состояний. Заполнение электронами энергетических зон. Энергия и уровень Ферми.
Плотность состояний — величина определяющая количество энергетических уровней в интервале энергий на единицу площади. Термин может применяться к фотонам, электронам, квазичастицам в твёрдом теле и т. п.
В каждой энергетической зоне могут располагаться в соответствии принципом Паули не более 2(2l + 1) электронов - по два с противоположными спинами на каждом уровне. Число электронов в кристалле конечно и зависит как от числа атомов N, так и от количества электронов в атоме. Электроны стремятся занять энергетические уровни с наинизшей энергией.
В физике, энергия Ферми (EF) системы невзаимодействующих фермионов — это увеличение энергии основного состояния системы при добавлении одной частицы. Это эквивалентно химическому потенциалу системы в ее основном состоянии при абсолютном нуле температур.
Уровень Ферми - уровень энергии, ниже которого все состояния при T = 0K заняты электронами.
32. Элементы квантовой статистики. Нахождение числа электронов в заданном интервале энергий. Нахождение средних значений. Средняя энергия электронов в металле.
Квантовая статистика – это статистический метод исследования, применимый к системам, состоящим из большого числа частиц, которые подчиняются законам квантовой механики. Квантовая статистика – это дважды статическая система.
Соотношение, которое позволяет, зная концентрацию электронов, найти энергию Ферми, или, наоборот:
Среднее значение энергии электронов: <E>=0∫∞Eg(E)f(E)dE/0∫∞g(E)f(E)dE = (3/5)EF.
33. Электрическая проводимость твердых тел с точки зрения зонной теории. Металлы, полупроводники, диэлектрики.
С точки зрения зонной теории все твердые тела можно подразделить на две основные группы: материалы, у которых валентная зона перекрывается зоной проводимости, и материалы, у которых валентная зона и зона проводимости разделены запрещенной зоной. В первом случае незначительное внешнее энергетическое воздействие переводит электроны на более высокие энергетические уровни, что обусловливает хорошую электропроводность материалов. Во втором случае переходы на более высокие энергетические уровни связаны с необходимостью внешнего энергетического воздействия, превышающего ширину запрещенной зоны. Материалы, в энергетической диаграмме которых отсутствует запрещенная зона, относятся к категории проводников, материалы с узкой запрещенной зоной (менее 3 эВ) — к категории полупроводников и материалы с широкой запрещенной зоной (более 3 эВ) — к категории диэлектриков.
34. Чистые полупроводники. Механизм проводимости. Зависимость проводимости от температуры.
Чистые полупроводники называются собственными.
При температурах, T→0, полупроводник с правильной кристаллической решеткой не имеет свободных электронов в зоне проводимости и является хорошим изолятором.
При повышении температуры электроны получают тепловую энергию, которая даже при комнатных температурах может оказаться достаточной для перехода с верхних уровней валентной зоны в зону проводимости. В этом случае в валентной зоне освобождается свободное место, которое называется дыркой.
При наложении внешнего электрического поля на место дырки в валентной зоне может перейти электрон соседнего атома, т. е. дырка будет перемещаться в направлении, противоположном направлению электронов. Следовательно дырку можно рассматривать как фиктивный положительный заряд.
Таким образом, носителями заряда в чистых полупроводниках являются электроны в зоне проводимости и дырки в валентной зоне.
Электропроводность чистых полупроводников возрастает с увеличением температуры полупроводника.
35. Примесные полупроводники p-типа и n-типа. Механизмы проводимости. Зависимость проводимости от температуры.
Примеси могут быть донорного и акцепторного типа. Донор - это примесный атом или дефект кристаллической решётки, создающий в запрещенной зоне вблизи "дна" зоны проводимости энергетический уровень, занятый в невозбуждённом состоянии электроном и способный в возбуждённом состоянии при тепловом возбуждении отдать электрон в зону проводимости. Акцептор - это примесный атом или дефект кристаллической решётки, создающий в запрещённой зоне вблизи "потолка" валентной зоны энергетический уровень, свободный от электрона в невозбуждённом состоянии и способный захватить электрон из валентной зоны благодаря тепловому возбуждению.
Полупроводник n-типа получается, если в чистый полупроводник добавить примесь с валентностью, большей на единицу. Образуется один избыточный электрон. Для того, чтобы оторвать его от атома и превратить в свободный носитель заряда, требуется значительно меньшая, чем ширина запрещенной зоны, энергия. Полупроводник p-типа получается, если в чистый полупроводник добавить примесь с валентностью, меньшей на единицу. Т. е. образуется вакантное место – дырка. При повышении температуры на место этой дырки может перейти электрон соседнего атома. Для такого перехода требуется значительно меньшая, чем ширина запрещенной зоны, энергия.
В целом электропроводность полупроводника включает в себя собственную и примесную составляющие. При небольшом повышении температуры собственная проводимость полупроводника практически равна нулю, так как приобретенной электронами полупроводника тепловой энергии не хватает для преодоления запрещенной зоны. При повышении температуры (T≈350-400K) все атомы примеси полностью ионизируются и наступает примесное истощение.
36. Фотопроводимость полупроводников. Её закономерности.
Явлением фотопроводимости называется увеличение электропроводности полупроводника под воздействием электромагнитного излучения. Фотопроводимость полупроводников может обнаруживаться в инфракрасной, видимой или ультрафиолетовой частях электромагнитного спектра в зависимости от ширины запрещенной зоны, которая, в свою очередь, зависит от типа полупроводника, температуры, концентрации примесей и напряженности электрического поля.
Закономерности:
1)В чистых полупроводниках существует граничная частота, ниже которой фотопроводимость не возникает: υ≥∆E/h, зависит от ширины запрещенной зоны.
2)Количество образующихся носителей тока пропорционально интенсивности светового потока.
37. Тепловые свойства твердых тел. Экспериментальная зависимость теплоёмкости твёрдых тел от температуры, её объяснение.
Твёрдое тело обладает широким спектром колебаний, в нём есть высокие и низкие частоты. Низкочастотные колебания лежат в звуковом и ультразвуковом диапазоне и представляют собой упругие волны, распространяющиеся в кристалле. Минимальная длина волны: λmin = 2l. Колебания с минимальными длинами волн не имеют физического смысла, т. к. не соответствуют реальным смещениям частиц решетки. Эти колебания являются стоячими волнами и не переносят энергию вдоль решётки. При этом низкочастотные колебания вносят максимальный вклад в энергию тепловых колебаний кристалла. Максимальная частота колебаний: υmax. С уменьшением λ и увеличением υ, скорость упругих волн уменьшается и при выполнении λmin = 2l скорость распространения становится равной нулю. Энергия упругих волн изменяется дискретно и величина изменения не может быть меньше, чем hυ. Изменения энергии должно быть всегда кратно hυ.
38. Теплоёмкость твердых тел. Закон Дюлонга – Пти, закон Дебая. Фононы.
Молярная теплоёмкость кристаллического твёрдого тела не зависит от его состава и равна 3R.
Закон Дюлонга-Пти (Закон постоянства теплоёмкости) — эмпирический закон, согласно которому молярная теплоёмкость твёрдых тел при комнатной температуре близка к 3R:
,
где R — универсальная газовая постоянная.
Закон Дебая: Cμ ~ T3.
Фонон — квазичастица, представляющая собой квант колебательного движения атомов кристалла.
39. Теплоемкость металлов вблизи T=0К.
Влияние электрона на теплоёмкость наблюдается только при абсолютном нуле. Электроны в металле можно рассматривать как электронный газ. Cμe = (1/2)Π2RkT/EF. Электроны не участвуют в процессе нагревания металла. Их вклад наблюдается только при самых низких температурах. T=0, <E> = (3/5)EF ∙ υNА.
40. Структура атомных ядер. Характеристики нуклонов. Символическая запись ядер.
Атомное ядро состоит из нуклонов — положительно заряженных протонов и нейтральных нейтронов, которые связаны между собой при помощи сильного взаимодействия. Атомное ядро, рассматриваемое как класс частиц с определённым числом протонов и нейтронов, часто называется нуклидом.
Нуклоны состоят из более простых частиц трех типов, названных кварками. Кварковая компонента нуклонов реализуется в виде двух возбуждённых барионных кластеров, испускающих главным образом нуклоны
Количество протонов в ядре называется его зарядовым числом Z — это число равно порядковому номеру элемента, к которому относится атом в таблице Менделеева. Количество нейтронов в ядре называется его изотопическим числом N. Полное количество нуклонов в ядре называется его массовым числом A (очевидно A = N + Z) и приблизительно равно средней массе атома, указанной в таблице Менделеева.
41. Ядерные силы и их свойства. Дефект массы и энергия связи. Устойчивость ядер. Способы выделения энергии.
Ядерные силы – силы, удерживающие нуклоны в ядре. Ядерная сила – сила притяжения. Свойства ядерных сил:
1)Самое сильное из известных в природе взаимодействий.
2)Зарядовая независимость.
3)Ядерные силы – явление краткодействующее.
4)Обладает свойством насыщения.
5)Не являются центральными ядерными силами.
6)Вид нуклон - нуклонного потенциала.
Энергия связи ядра – энергия, которую необходимо затратить для расщепления ядра на отдельные нуклоны. Равна энергии всех нуклонов в свободном состоянии.
Дефект массы характеризует уменьшение суммарной массы при обозначении ядра из нуклонов: ∆M=Zmp+Nma-Ma=Eсв/c2.
Чем больше энергия связи, тем больше устойчивость ядра.
Для осуществления реакции между двумя или несколькими частицами необходимо, чтобы взаимодействующие частицы (ядра) сблизились на расстояние порядка 10−13 см, то есть характерного радиуса действия ядерных сил.
42. Закон радиоактивного распада. Постоянная распада, среднее время жизни ядра, период полураспада, активность.
Радиоактивный распад – процесс превращения неустойчивых атомных ядер в ядра других элементов, который сопровождается испусканием частиц.
N=N0e-λt – закон радиоактивного распада, где N – число нераспавшихся ядер, N0 – число начальных ядер.
Физический смысл постоянной распада – вероятность распада ядра за единицу времени. Характерные времена жизни для радиоактивных ядер τ> 10-14 c. Времена жизни ядер, обусловленные испусканием нуклонов 10-23 с < <10-20 c. T1/2 – период полураспада – время, за которое распадается половина начального количества ядер. Активность радиоактивного источника – число распадов в единицу времени: A=λN.
43. Виды радиоактивного распада. α – распад, схема распада, закономерности распада.
Радиоактивный распад – процесс превращения неустойчивых атомных ядер в ядра других элементов, который сопровождается испусканием частиц.
Виды радиоактивного распада:
1)α – распад – сопровождается испусканием атомов гелия.
2)β – распад – испускание электронов и позитронов.
3)γ – распад – испускание фотонов при переходах между состояниями ядер.
4)Спонтанное деление ядер.
5)Нуклонная радиоактивность.
α – распад: A2X→A-YZ-2Y+42He. Α-распад наблюдается у тяжёлых ядер. Спектр α – распада дискретный. Длина пробега α – частицы в воздухе: 3-7см; для плотных веществ: 10-5м. T1/2 10-7с ÷ 1010лет.
44. β – распад. Схемы β+, β- и К-захвата. Закономерности β – распада.
β – распад обусловлен слабым взаимодействием. Слабым оно является по отношению к сильным ядрам. В слабых взаимодействиях участвуют все частицы, кроме фотонов. Суть в вырождении новых частиц. T1/2 10-2с ÷ 1020лет. Свободный пробег нейтрона 1019км.
β – распад включает в себя 3 вида распада:
1)β- или электронный. Ядро испускает электроны. В общем случае:
A2X→AZ-1Y+0-1e+υe.
2)β+ или позитронный. Испускаются античастицы электрона – позитроны: 11p→10n+01e+υe – реакция превращения протона в нейтрон. Самостоятельно реакция не проходит. Общий вид реакции: AZX→AZ-1Y+01e+υe. Наблюдается у искусственных радиоактивных ядер.
3)Электронный захват. Происходит превращение ядра, захватывает K – оболочку и превращается в нейтрон: 11p+0-1e→10n+υe. Общий вид: AZX+01e→AZ-1Y+υe. В результате электрического захвата из ядер вылетает только одна частица. Сопровождается характерным рентгеновским излучением.
45. Ядерные реакции, их закономерности. Реакции деления. Реакции синтеза. Энергетический выход реакции.
Я́дерная реа́кция — процесс превращения атомных ядер, происходящий при их взаимодействии с элементарными частицами, гамма-квантами и друг с другом, часто приводящий к выделению колоссального количества энергии. При протекании ядерных реакций выполняются следующие законы: сохранения электрического заряда и числа нуклонов, сохранения энергии и
импульса, сохранения момента импульса, сохранения четности и
изотопического спина.
Реакция деления – деление атомного ядра на несколько более легких ядер. Деления бывают вынужденные и спонтанные.
Реакция синтеза – реакция слияния лёгких ядер в одно. Эта реакция происходит только при высоких температурах, порядка 108 К и называется термоядерной реакцией.
Энергетическим выходом реакции Q называется разность между суммарными энергиями покоя всех частиц до и после ядерной реакции. Если Q >0, то суммарная энергия покоя уменьшается в процессе ядерной реакции. Такие ядерные реакции называются экзоэнергетическими. Они могут протекать при сколь угодно малой начальной кинетической энергии частиц. Наоборот, при Q <0 часть исходной кинетической энергии частиц превращается в энергию покоя. Такие ядерные реакции называются эндоэнергетическими. Для их протекания необходимо, чтобы кинетическая энергия частиц превышала некоторую величину.
1. 1) Закон Стефана – Больцмана: Энергетическая светимость абсолютно черного тела пропорциональна четвертой степени абсолютной температуры: M0e = σT4, где σ = 5,67 · 10-8 Вт/(м2 · К4) – постоянная Стефана – Больцмана.
2) Закон смещения Вина: длина волны λ’, на которую приходится максимум излучения в спектре абсолютно черного тела, обратно пропорциональна абсолютной температуре: λ’ = b/T, где
b = 2,9 · 10-3 м·К. Теоретически излучение абсолютно черного тела было исследовано и рассчитано Планком в 1900 году, который впервые предположил, что энергия испускается в виде отдельных порций: постулат Планка. Постулат Планка: ε = hv, где
h = 6,626 · 10-34 Дж·с – постоянная Планка.
Формула Планка для расчета спектральной плотности энергетической светимости абсолютно черного тела имеет вид: Moλ,T = 2πhc2/λ5 · 1/exp(hc/λkT)-1, где c = 3·108 м/с – скорость света в вакууме, k = 1,38·10-23 Дж/К – постоянная Больцмана.
2.
Внешним фотоэффектом называется явление испускания электронов веществом под действием света.
Зависимость тока от напряжения в цепи называется вольтамперной характеристикой фотоэлемента.
1) Количество фотоэлектронов N’e, вырываемых из катода за единицу времени, пропорционально интенсивности света, падающего на катод (закон Столетова). Или иначе: ток насыщения пропорционален мощности падающего на катод излучения: Ńф = P/εф.
2) Максимальная скорость Vmax, которую имеет электрон на выходе из катода, зависит только от частоты света ν и не зависит от его интенсивности.
3) Для каждого вещества существует граничная частота света ν0, ниже которой фотоэффект не наблюдается: v0 = Aвых/h. Уравнение Эйнштейна: ε = Aвых + mv2max/2, где ε = hv – энергия поглощенного фотона, Aвых – работа выхода электрона из вещества, mv2max/2 – максимальная кинетическая энергия вылетевшего электрона.
Уравнение Эйнштейна, по сути, представляет собой одну из форм записи закона сохранения энергии. Ток в фотоэлементе прекратится, если все вылетающие фотоэлектроны затормозятся, не долетев до анода. Для этого к фотоэлементу необходимо приложить обратное (задерживающее) напряжение u, величина которого также находится из закона сохранения энергии: |e|uз = mv2max/2.
3. Корпускулярно-волновой дуализм — это теория о том, что свет представляется на микроуровне одновременно и как мельчайшие частицы (корпускулы), и как волны. В частности, свет — это и корпускулы (фотоны), и электромагнитные волны.
В 1923 году французский ученый Луи де Бройль выдвинул гипотезу об универсальности корпускулярно-волнового дуализма. Он утверждал, что не только фотоны, но и электроны и любые другие частицы материи наряду с корпускулярными обладают также волновыми свойствами.
Согласно де Бройлю, с каждым микрообъектом связываются, с одной стороны, корпускулярные характеристики — энергия E и импульс p, а с другой стороны — волновые характеристики — частота и длина волны.
В 1948 году это удалось экспериментально подтвердить советскому физику . Он показал, что даже в случае столь слабого электронного пучка, когда каждый электрон проходит через прибор независимо от других, возникающая при длительной экспозиции дифракционная картина не отличается от дифракционных картин, получаемых при короткой экспозиции для потоков электронов в десятки миллионов раз более интенсивных.
4. Принцип неопределённости Гейзенберга - в квантовой механике так называют принцип, дающий нижний (ненулевой) предел для произведения дисперсий величин, характеризующих состояние системы.
Соотношения неопределённости Гейзенберга — это теоретический предел точности любых измерений. Они справедливы для так называемых идеальных измерений, иногда называемых измерениями фон Неймана. Они тем более справедливы для неидеальных измерений или измерений Ландау.
Соответственно, любая частица (в общем смысле, например несущая дискретный электрический заряд) не может быть описана одновременно как «классическая точечная частица» и как волна. (Сам факт того, что какое-либо из этих описаний может быть справедливо, по крайней мере в отдельных случаях, называют корпускулярно-волновым дуализмом). Принцип неопределённости, в виде, первоначально предложенном Гейзенбергом, верен в случае, когда ни одно из этих двух описаний не является полностью и исключительно подходящим, например частица в коробке с определённым значением энергии; то есть для систем, которые не характеризуются ни каким-либо определённым «положением» (какое-либо определённое значение расстояния от потенциальной стенки), ни каким-либо определённым значением импульса (включая его направление).
Соотношение неопределенности Гейзенберга показывает, что “между точностью, с которой одновременно может быть установлено положение частицы, и точностью ее импульса существует определенное соотношение”:
q
p ≥ h,
где
- среднеквадратичное отклонение.
5. Стационарное уравнение Шредингера для движения электрона в кулоновском поле ядра атома водорода и водородоподобных атомов имеет вид: ∆ψ + (8π2m/h2)(E-U)Ψ = 0,
где Ψ – волновая функция, ∆ - оператор Лапласа, Е – полная энергия электрона в атоме, U = -(Ze2/4πε0r) – потенциальная энергия.
6. Потенциальная яма – область пространства, где присутствует локальный минимум потенциальной энергии частицы.
Используя граничные условия, имеем:
Ψ(x = 0) = a sin α = 0 Отсюда, α = 0
Ψ(x = 1) = a sin ωl = 0 Отсюда, ωl = ± nπ (n = 1,2, …)
Учитывая значения ω, получим:
En = ħ2π2/2ml n2 (n = 1, 2, …)
En – собственные значения энергии.
Принцип квантования энергии гласит, что любая система взаимодействующих частиц, способная образовывать стабильное состояние - будь то кусок твердого тела, молекула, атом или атомное ядро, - может сделать это только при определенных значениях энергии.
7. Модель Бора выявила истинное значение спектральных законов и позволила установить, как эти законы отражают квантовый характер внутренней структуры атома - устойчивость структуры атома оказалась неразрывно связанной с существованием квантов. В модели Бора каждый атом обладает некоторой последовательностью квантовых (стационарных) состояний. Каждый вид атома имеет свою последовательность квантовых значений энергии, соответствующих различным возможным стационарным состояниям.
Постулаты Бора:
1) В атоме существует ряд дискретных стационарных состояний, которым соответствуют определенные значения энергии атома E1, E2 и т. д. В стационарном состоянии атом не излучает и не поглощает энергии.
2) Переходя из одного стационарного состояния в другое, атом излучает и поглощает квант энергии ε = hv, равный разности энергий En и En' двух стационарных состояний: hv = En' - En.
Атом водорода (Z = 1) имеет наиболее простой линейчатый спектр излучения. Частоты спектральных линий для атома водорода и водородоподобных атомов определяются по формуле: v = Rv(1/n2 – 1/n'2), где Rv = Z2me4/8ε02h3 = 3,29 · 1015 с-1 – постоянная Ридберга.
Также эта формула может быть записана через длину волны λ: 1/λ = Rλ(1/n2 – 1/n'2), где Rλ = 1,097 · 107 м-1.
Недостатки теории Бора:
- не смогла объяснить интенсивность спектральных линий.
- справедлива только для водородоподобных атомов и не работает для атомов, следующих за ним в таблице Менделеева.
- теория Бора логически противоречива: не является ни классической, ни квантовой. В системе двух уравнений, лежащих в её основе, одно - уравнение движения электрона - классическое, другое - уравнение квантования орбит - квантовое.
Опыт Франка - Герца - опыт, явившийся экспериментальным доказательством дискретности внутренней энергии атома.
В опыте наблюдался монотонный рост I при увеличении ускоряющего потенциала вплоть до 4,9 в, то есть электроны с энергией Е < 4,9 эв испытывали упругие соударения с атомами Hg и внутренняя энергия атомов не менялась. При значении V = 4,9 в (и кратных ему значениях 9,8 в, 14,7 в) появлялись резкие спады тока. Это определённым образом указывало на то, что при этих значениях V соударения электронов с атомами носят неупругий характер, т. е. энергия электронов достаточна для возбуждения атомов Hg. При кратных 4,9 эв значениях энергии электроны могут испытывать неупругие столкновения несколько раз.
Таким образом, опыт Франка - Герца показал, что спектр поглощаемой атомом энергии не непрерывен, а дискретен, минимальная порция (квант электромагнитного поля), которую может поглотить атом Hg, равна 4,9 эВ. Значение длины волны λ = 253,7 нм свечения паров Hg, возникавшее при V > 4,9 В, оказалось в соответствии со вторым постулатом Бора.
8. Уравнение Шредингера для атома водорода:

где ψ - волновая функция (аналог амплитуды для волнового движения в классической механике), которая характеризует движение электрона в пространстве как волнообразное возмущение; x, y, z - координаты, m - масса покоя электрона, h - постоянная Планка, E - полная энергия электрона, Ep - потенциальная энергия электрона.
Анализ решения уравнения Шредингера дает следующие результаты:
1. Электрон в атоме может иметь только определенные дискретные (квантованные) значения энергии, которые совпадают с выражением
E=-(Z2me4/8ε02h2n2),
где n – главное квантовое число.
2. Орбитальный момент импульса L электрона в атоме также может принимать лишь ряд дискретных значений
L=(h/2π)√l(l+1),
Где l – орбитальное квантовое число.
3. Проекция орбитального момента импульса Lz на выбранное направление OZ (например, направление внешнего магнитного поля) тоже квантуется
Lz=(h/2π)m,
где m – магнитное квантовое число.
Потенциал ионизации - разность электрических потенциалов, ускоряющая электрон до энергии, равной работе ионизации. Потенциал ионизации измеряется в вольтах и является индивидуальной характеристикой вещества. Различают:
- первый потенциал ионизации, позволяющий оторвать один электрон от нейтрального невозбужденного атома;
- второй потенциал ионизации, позволяющий оторвать два электрона;
- третий потенциал ионизации, позволяющий оторвать два электрона и т. д.
Состояние электрона в атоме определяется набором четырех квантовых чисел, каждое из которых может принимать определенные значения:
Главное квантовое число: n = 1,2,3,…
Орбитальное квантовое число: l = 0,1,2,…,(n-1).
Магнитное квантовое число: m = 0,±1,±2,…,±l.
Спиновое квантовое число: ms = ±1/2
Физический смысл полного набора квантовых чисел электронов в атоме – порядковый номер электронного уровня, определение состояния электрона в атоме, описание электронных оболочек атомов. Каждый электрон в атоме имеет свой собственный «адрес», записанный набором четырех квантовых чисел
Для многоэлектронных атомов выполняется принцип запрета Паули: в одном и том же атоме не может быть двух электронов, обладающих одинаковым набором четырех квантовых чисел.
9. Образование энергетических зон в твердом теле можно представить следующим образом. Вначале предположим, что кристалл равномерно растянут так, что межатомные расстояния в нем очень велики. Тогда разрешенные уровни для электронов совпадут с атомными уровнями, которые для простоты будем предполагать невырожденными. В кристалле, состоящем из N атомов, каждый атомный уровень становится N-кратно вырожденным. Если затем начать постепенно уменьшать межатомные расстояния в кристалле, то вследствие растущего взаимодействия атомов друг с другом каждый уровень расщепится на серию N различных по энергии уровней. Вместо каждого N-кратно вырожденного уровня получаем зону энергий, содержащую N плотно размещенных уровней В случае глубоколежащих атомных уровней возмущение оказывается слабым по сравнению с силами взаимодействия между электроном и ядром; соответственно и расщепление этих уровней будет мало.
Зона проводимости — в зонной теории твёрдого тела первая из незаполненных электронами зон в полупроводниках и диэлектриках.
Валентная зона — энергетическая область разрешённых электронных состояний в твёрдом теле, заполненная валентными электронами.
Запрещённая зона — область значений энергии, которыми не может обладать электрон в идеальном (бездефектном) кристалле.

Уровень Ферми - уровень энергии, ниже которого все состояния при T = 0K заняты электронами
22. При температурах, T→0, полупроводник с правильной кристаллической решеткой не имеет свободных электронов в зоне проводимости и является хорошим изолятором.
При повышении температуры электроны получают тепловую энергию, которая даже при комнатных температурах может оказаться достаточной для перехода с верхних уровней валентной зоны в зону проводимости. В этом случае в валентной зоне освобождается свободное место, которое называется дыркой.
При наложении внешнего электрического поля на место дырки в валентной зоне может перейти электрон соседнего атома, т. е. дырка будет перемещаться в направлении, противоположном направлению электронов. Следовательно дырку можно рассматривать как фиктивный положительный заряд.
Таким образом, носителями заряда в чистых полупроводниках являются электроны в зоне проводимости и дырки в валентной зоне.
Электропроводность чистых полупроводников возрастает с увеличением температуры полупроводника.
Примеси могут быть донорного и акцепторного типа. Донор - это примесный атом или дефект кристаллической решётки, создающий в запрещенной зоне вблизи "дна" зоны проводимости энергетический уровень, занятый в невозбуждённом состоянии электроном и способный в возбуждённом состоянии при тепловом возбуждении отдать электрон в зону проводимости. Акцептор - это примесный атом или дефект кристаллической решётки, создающий в запрещённой зоне вблизи "потолка" валентной зоны энергетический уровень, свободный от электрона в невозбуждённом состоянии и способный захватить электрон из валентной зоны благодаря тепловому возбуждению.
Полупроводник n-типа получается, если в чистый полупроводник добавить примесь с валентностью, большей на единицу. Образуется один избыточный электрон. Для того, чтобы оторвать его от атома и превратить в свободный носитель заряда, требуется значительно меньшая, чем ширина запрещенной зоны, энергия. Полупроводник p-типа получается, если в чистый полупроводник добавить примесь с валентностью, меньшей на единицу. Т. е. образуется вакантное место – дырка. При повышении температуры на место этой дырки может перейти электрон соседнего атома. Для такого перехода требуется значительно меньшая, чем ширина запрещенной зоны, энергия.
В целом электропроводность полупроводника включает в себя собственную и примесную составляющие. При небольшом повышении температуры собственная проводимость полупроводника практически равна нулю, так как приобретенной электронами полупроводника тепловой энергии не хватает для преодоления запрещенной зоны. При повышении температуры (T≈350-400K) все атомы примеси полностью ионизируются и наступает примесное истощение.
11.
12. Атомное ядро состоит из нуклонов — положительно заряженных протонов и нейтральных нейтронов, которые связаны между собой при помощи сильного взаимодействия. Атомное ядро, рассматриваемое как класс частиц с определённым числом протонов и нейтронов, часто называется нуклидом.
Нуклоны состоят из более простых частиц трех типов, названных кварками. Кварковая компонента нуклонов реализуется в виде двух возбуждённых барионных кластеров, испускающих главным образом нуклоны
Количество протонов в ядре называется его зарядовым числом Z — это число равно порядковому номеру элемента, к которому относится атом в таблице Менделеева. Количество нейтронов в ядре называется его изотопическим числом N. Полное количество нуклонов в ядре называется его массовым числом A (очевидно A = N + Z) и приблизительно равно средней массе атома, указанной в таблице Менделеева.
Ядерные силы – силы, удерживающие нуклоны в ядре. Ядерная сила – сила притяжения. Свойства ядерных сил:
1)Самое сильное из известных в природе взаимодействий.
2)Зарядовая независимость.
3)Ядерные силы – явление краткодействующее.
4)Обладает свойством насыщения.
5)Не являются центральными ядерными силами.
6)Вид нуклон - нуклонного потенциала.
Энергия связи ядра – энергия, которую необходимо затратить для расщепления ядра на отдельные нуклоны. Равна энергии всех нуклонов в свободном состоянии.
Дефект массы характеризует уменьшение суммарной массы при обозначении ядра из нуклонов: ∆M=Zmp+Nma-Ma=Eсв/c2.
Чем больше энергия связи, тем больше устойчивость ядра.
Для осуществления реакции между двумя или несколькими частицами необходимо, чтобы взаимодействующие частицы (ядра) сблизились на расстояние порядка 10−13 см, то есть характерного радиуса действия ядерных сил.
13. Радиоактивный распад – процесс превращения неустойчивых атомных ядер в ядра других элементов, который сопровождается испусканием частиц.
N=N0e-λt – закон радиоактивного распада, где N – число нераспавшихся ядер, N0 – число начальных ядер.
Физический смысл постоянной распада – вероятность распада ядра за единицу времени. Характерные времена жизни для радиоактивных ядер τ> 10-14 c. Времена жизни ядер, обусловленные испусканием нуклонов 10-23 с < <10-20 c. T1/2 – период полураспада – время, за которое распадается половина начального количества ядер. Активность радиоактивного источника – число распадов в единицу времени: A=λN.
Виды радиоактивного распада:
1)α – распад – сопровождается испусканием атомов гелия.
2)β – распад – испускание электронов и позитронов.
3)γ – распад – испускание фотонов при переходах между состояниями ядер.
4)Спонтанное деление ядер.
5)Нуклонная радиоактивность.
α – распад: A2X→A-YZ-2Y+42He. Α-распад наблюдается у тяжёлых ядер. Спектр α – распада дискретный. Длина пробега α – частицы в воздухе: 3-7см; для плотных веществ: 10-5м. T1/2 10-7с ÷ 1010лет.


