Батуева Юлия, ученица 8 класса, Ташеланская СОШ
Тема доклада: Таинства знакомой нам звезды.
Написанием данной работы для меня послужило изучение на уроках геометрии свойств многоугольников. Возник интерес к фигуре звезды, о которой я прочитала в учебнике "Геометрия, 7-9" , .
Но, к сожалению, звезду как геометрическую фигуру в школьном курсе я не изучала. Поэтому на занятиях математического кружка и возникла проблема изучить звезду, как геометрическую фигуру. Целью данной работы стало исследование истории возникновения символа звезды, определения пентаграммы и геометрических свойств звезды, а также нахождение золотого сечения звезды и способов определения суммы внутренних углов звезды. Для реализации поставленной цели были изучены различные источники математической и дополнительной литературы, в частности такие как «Словарь символов» Джека Триседдера, «Динамика геометрических фигур», Л. Силаева, «Этот удивительный мир», Л. Тарасова и другие.
ИЗ ИСТОРИИ ВОЗНИКНОВЕНИЯ СИМВОЛА
Интересной, но очень мало затронутой темой является символика звезды.
«Звезда – это превосходство, постоянство, предводительство, защита, бдительность, устремленность».[1]
Древние верили, что звезды управляют человеческими судьбами, считали их божествами или помощниками божеств, что сказалось на общем символизме звезд.
Великие богоматери, такие, как Иштар и Дева Мария, носили короны из звезд.
Звезды считались небесными окнами или входом на небеса. Их называли глазами Митры, персидского бога света. В Ветхом Завете «Звезда Иакова» – символ Мессии; в Новом Завете ее упоминает Иисус Христос, называя «яркой и светлой утренней звездой».
С пятью лучами обычно изображается Вифлеемская звезда. Звезда связана с числом 5. Число 5 – «символ человека и поэтому оно графически изображается фигурой человека, чья голова, разведенные в стороны руки и широко расставленные ноги образуют пятиконечную звезду или пентаграмму».
Пентаграмма является одним из важнейших магических символов. Само это слово происходит от греческих слов "pente", что означает пять, и "gramma" – черта, линия.
Пентаграмма - фигура с пятью вершинами, образованная двумя восходящими пересекающимися лучами, которые отходят от каждой стороны пентагона (правильного пятиугольника), таким образом, получается звезда.3
Пентаграмма — очень древний символ. Она встречается в археологических памятниках, датируемых 7-м тысячелетием до н. э. Но вполне возможно, что пентаграмма возникла гораздо раньше.
2. Первые изображения пентаграммы
Первые известные изображения пентаграммы датируются примерно 3500 г. до н. э.,
Римский император Константин I включил пентаграмму в свою печать и свой амулет, потому что посчитал, что благодаря ей, он нашёл истинную веру и принял христианство. Английский воин, сэр Гавейн, племянник Короля Артура, в качестве личного символа использовал пентаграмму и поместил её на своём щите в золоте на красном фоне. Пять острых концов звезды символизировали пять рыцарских достоинств — «благородство, вежливость, целомудрие, отвага и благочестие».
Итак, пентаграмма - правильный невыпуклый пятиугольник, она же правильный звездчатый пятиугольник или правильная пятиугольная звезда.
Звезда – это одна из важных фигур сакральной геометрии.
Сакральная геометрия - это учение о формах Пространства и закономерностях развития Вселенной
Пятиконечной звезде — около 3000 лет.
Пентаграмму можно начертить 10 различными способами
Символ пентаграммы известен большинству народов Земли. Ранним христианам пентаграмма была напоминанием о пяти ранах Христа (от тернового венка на лбу, от гвоздей в руках и ногах), которые он получил, страдая за человечество, также она символизировала Троицу и Двойную природу Христа (Божественную и человеческую).
Пентаграмму отождествляли со "Звездой Волхвов", которая помогла восточным мудрецам найти младенца Иисуса.
У немецкого поэта Гёте в трагедии "Фауст" (1808 г), описывается случай, когда дьявол Мефистофель проник в жилище учёного Фауста, потому что пентаграмма на его доме была плохо начерчена, и промежуток в уголке остался:
Фигура должна быть совершенно замкнутой и не обнаруживать никаких разрывов.
Примером ИСПОЛЬЗОВАНИЯ Пентаграммы в живописи
Является Портрет Моны Лизы (Джоконды). Обнаружено, что композиция рисунка основана на «золотых треугольниках», являющихся частями правильного звездчатого пятиугольника.6
ПЕНТАГРАММА ГЛАЗАМИ МАТЕМАТИКОВ
Пентагра́мма (пентальфа, пентагерон; греч. πεντάγραμμον от πέντε — «пять» и γράμμα — «черта, линия») — правильный пятиугольник, на каждой стороне которого построены равнобедренные треугольники, равные по высоте, иначе ее называют звездой.
Пентаграмма — правильная геометрическая фигура, обладающая пятилучевой симметрией.
Из Древней Вавилонии в Средиземноморье, как полагают, звездчатый пятиугольник перевез Пифагор. Он первым стал изучать пентаграмму как геометрическую фигуру. Пифагор считал ее символом совершенства и сделал тайным знаком своей философско - математической школы, с помощью которого пифагорейцы отличали своих от чужих.
Звезда — определённый вид плоских невыпуклых многоугольников, не имеющий, однако, однозначного математического определения
Звезда — плоская геометрическая фигура, составленная из треугольных лучей, исходящих из общего центра, сливающихся в точке схождения.
2. Построение пентаграммы
Есть у пентаграммы одно любопытное свойство.
Пентаграмма — простейшая форма звезды, которую можно изобразить одним росчерком пера, ни разу не оторвав его от бумаги и при этом ни разу же не пройдя дважды по одной и той же линии. Пентаграмму можно начертить 10 различными способами.
Один из способов построения разработал немецкий живописец и график Альбрехт Дюрер ().7
Для построения пентаграммы необходимо построить правильный пятиугольник, затем из каждой вершины провести отрезок, соединяющий несоседние вершины.


3. «Золотое сечение» - гармоническая пропорция. Пентаграмма и золотое сечение
Геометрия владеет двумя сокровищами: одно из них – это теорема Пифагора, а другое – деление отрезка в среднем и крайнем отношении.… Первое можно сравнить с мерой золота, второе же больше напоминает драгоценный камень.
И. Кеплер (1571-
Золотое сечение – это закон пропорциональной связи целого и составляющих это целое частей, когда целое так относится к большей части, как большая часть - к меньшей.
Простейший пример золотого сечения – это деление отрезка в среднем и крайнем отношениях.
При золотом сечении отношение длины всего отрезка к длине большей части равно отношению большей части к меньшей:
Преобразуем равенство так:
или
.
Обозначим
, то получим уравнение
. Преобразуем x – 1 -
или
. Так как явно x≠0 , то получаем квадратное уравнение
x2 – x -1 = 0 , имеющее два корня: x1 =
x2 =
Первое из этих чисел называется золотой пропорцией и обозначатся буквой Ф –
первой буквой имени Фидия – греческого скульптора, применявшего золотую пропорцию при создании своих творений (храм Парфенон в Афинах).
Итак, Ф = (√5 + 1)/2 = 1,618034...
Часто рассматривают отношение 1/Ф. Его обозначают буквой -φ, и оно равно (√5— 1)/2 = 0,618034...
Значит, второй корень уравнения – это φ = (√5— 1)/2 = 0,618034...
Ф и φ — прописная и строчная формы греческой буквы «фи» и отличаются только первой цифрой.
4. Это удивительное число Ф.
Число Ф применяется природой и в жизни:
· недавно установленный инвариант Альфа (а) ритма человеческого мозга равен 1,61803;
· соотношение размеров улитки или морских моллюсков - 1,61803...;
· в произведениях многих выдающихся художников центр напряжения делит картину в соотношениях числа 1,61803....
5. Золотое сечение и человек.
Золотое сечение не обошло и человека…
· пропорции нормально сложенного мужского тела: расстояние от пупа - точки возникновения живого существа до макушки и пят связаны также отношением золотого сечения и равно 13 : 8 = 1,625;
· пропорции головы и рук человека тоже подчиняются закону золотого сечения: 62 : 38 = 1,6315…





6. Интересные геометрические свойства пентаграммы.
Замечательный пример «золотого сечения» представляет пентаграмма. В чем привлекательность звезды (пентаграммы)?
Пентаграмма обладает интересными геометрическими свойствами:
I свойство. Поворотная симметрия пятого порядка.
Звезда имеет пять осей симметрии, которые совмещаются при каждом повороте на 72º.
Поворотная симметрия пятого порядка встречается в животном мире, например, у морской звезды и панциря морского ежа.


А также у цветков незабудки, гвоздики, колокольчика, шиповника, лапчатки гусиной, вишни, груши, яблони, малины, рябины и т. д.




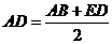
II свойство. Постоянство отношений составляющих её отрезков.
Пентаграмма представляет собой вместилище золотых пропорций!

На рисунке
AD : AC = AC : CD = AB : BC = AD : AE = AE : EC
Пользуясь симметрией звезды, этот ряд равенств можно продолжить. Все эти отношения равны числу Ф (1,618...).
III свойство. Углы при вершинах пятиконечного звездчатого многоугольника равны по 360.


Диагонали правильного n - угольника делят его углы на равные части.
В пятиугольнике ABCDE <1 = < 2 = < 3 = 108°: 3 = 36° , (как вписанные углы, опирающиеся на равные дуги).
Все углы в пентаграмме кратны 36.
IV свойство. Наличие у пентаграммы возвышенных треугольников.


Лучи пентаграммы, выходящие из одной точки, образуют возвышенный треугольник.
Возвышенный треугольник – это равнобедренный треугольник, у которого углы при основании (72°) вдвое больше угла при вершине (36°), который обладает уникальным свойством: биссектриса угла при основании делит противоположную сторону в золотом сечении.
V свойство. Отрезки пентаграммы связаны между собой всеми видами средних.

![]()
![]()
![]()


VI свойство. Сумма углов пятиконечной звезды равна 180º.
Дано:
1, 2, 3, 4, 5 - острые углы звезды.
А, В, С, D, Е - углы пятиугольника внутри звезды
Доказать: 1 + 2 + 3 + 4 + 5 = 1800
Доказательство.
Как сумма углов треугольника
1 + 4 + B = 1800,
1 + 3 + D = 1800,
2 + 4 + E = 1800,
2 + 5 + C = 1800,
3 + 5 + A = 1800.
Сложим равенства и получим:
2 × (1 + 2 + 3 + 4 + 5) + (А + С + В + D + Е) = 9000 ,
откуда
2 × (1 + 2 + 3 + 4 + 5) = 9000- (А + С + В + D + Е),
где А + В + D + Е + С - сумма углов выпуклого пятиугольника внутри звезды.
Сумма углов выпуклого пятиугольника равна 5400.
Тогда имеем 1 + 2 + 3 + 4 + 5 = (90: 2 = 3600 : 2 =1800
Что и требовалось доказать.
О различных способах решения задачи нахождения суммы внутренних острых углов пятиконечной звезды
Многие из геометрических задач можно решить разными способами и методами. В работе я поставила себе задачу – найти сумму острых внутренних углов звезды (то есть углов 1, 2, 3, 4, 5) несколькими способами. Поставленную задачу я решила разными способами, которые были основаны на следующих геометрических фактах:
· свойстве угла (если из вершины угла в его внутреннюю область провести луч, то градусная мера всего угла будет равна сумме градусных мер, получившихся углов), на свойствах вертикальных углов (вертикальные углы равны);
· свойствах параллельных прямых (при пересечении двух параллельных прямых секущей, накрест лежащие углы равны, соответственные углы равны, сумма односторонних углов равна 180°) и использовании формулы суммы внутренних углов треугольника (сумма внутренних углов треугольника равна 180°);
· свойстве внешнего угла треугольника (градусная мера внешнего угла равна сумме градусных мер углов не смежных с ним) и использовании формулы суммы внутренних углов треугольника;
· свойствах вертикальных углов (вертикальные углы равны) и использовании формулы суммы внутренних углов треугольника;
· формуле суммы углов выпуклого многоугольника (180⁰(n–2), где n – количество внутренних углов)
· свойствах вписанного угла (вписанный угол измеряется половиной дуги, на которую он опирается) и ключевых задачах (угол между двумя секущими, проведенными через точку, лежащую вне окружности, измеряется полуразностью дуг, заключенных внутри угла; угол между двумя хордами, пересекающимися внутри окружности, измеряется полусуммой дуг, отсекаемых сторонами угла).
Один из способов нахождения суммы внутренних углов звезды:
Решение:

Обозначим за A, B, C, D, E углы звезды. Обойдем контур звезды, начиная с некоторой точки. В вершинах A, B, C, D, E поворачиваем на угол, дополнительный к углу звезды. Всего мы повернули в пяти углах, и общее вращение направляющего вектора составило 2*3600 (так как при обходе мы делаем два полных оборота). Сумма поворотов в каждом угле звезды составляет (1800-A)+(1800-B)+(1800-C)+(1800-D)+(1800-E) = 5*1800-(A+B+C+D+E). Итак, 5*1800-(A+B+C+D+E) = 2*3600, откуда A+B+C+D+E = 1800, что и требовалось доказать.
Еще один способ решения:

В треугольнике DBL угол KLE внешний, а в треугольнике ACK внешний - угол LKE. Соответственно угол KLE равен сумме углов B и D; угол LKE равен сумме углов A и C. В треугольнике KLE сумма всех углов равна 180 градусов. K + L +E =1800. Заменим, A+C+B+D+E =1800.
И еще одно решение:
Угол при вершине опирается на дугу в 72 градуса и равен, соответственно, половине этого угла, т. е. 36 градусам, а сумма всех пяти углов равна, следовательно, 180 градусам.
Золотое сечение используется также для построения правильных выпуклых звёздчатых многогранников,
Существует всего четыре правильных звездчатых многогранника. Первые два были открыты И. Кеплером (1571 – 1630), а два других были построены французским математиком и механиком Луи Пуансо (1777 – 1859).
Поэтому правильные звездчатые многогранники получили названия тел Кеплера – Пуансо. Развертки этих тел составлены из «золотых» треугольников. («Золотыми» называются равнобедренные треугольники с углами 36, 72, 72 и 108, 36, 36 градусов, где отношения боковой стороны и основания равно или приближается к числу Ф).
7. Тела Кеплера – Пуансо

![]()
![]()
![]()
![]()
Малый звездчатый додекаэдр Большой додекаэдр Большой звездчатый додекаэдр Большой икосаэдр
III. ЗВЕЗДЫ НА ЗЕМЛЕ
Если внимательно присмотреться к окружающему тебя миру, то можно почти всюду увидеть эту таинственную фигуру. Просто приведу примеры:
ПО СЛАЙДАМ
III. ЗАКЛЮЧЕНИЕ
При подготовке к этой работе я узнала много нового о такой как бы знакомой, но оказалось, еще совсем незнакомой звезде.
В процессе работы я познакомилась с понятием «Золотое сечение», увидела золотое сечение, скрытое в пентаграмме. Используя свойства золотого сечения, научилась правильно строить пентаграмму. Были изучены геометрические свойства пентаграммы, найдены связи звезды с окружающим миром. Основная часть работы посвящалась исследованию пентаграммы как геометрической фигуры, нахождению углов пятиконечного звездчатого многоугольника, рассмотрению различных способов решения задачи по нахождению суммы внутренних углов пятиконечной звезды. Анализируя свою деятельность, я сделала для себя следующие выводы: во-первых, если знаешь, что задача имеет несколько решений, то смелее берешься за неё, во-вторых, решая задачи разными способами, приобретаешь опыт, развиваешь математическое чутьё, в-третьих, поиск новых вариантов решений позволяет систематизировать свои знания.
Проект реализован на занятиях математического кружка «Математический калейдоскоп» под руководством учителя математики Борисовой НГ. Результатом данной работы стал выпуск школьной книги «Таинства знакомой нам звезды».
Мы надеемся, что наш проект по математике понятен каждому, доступен и занимателен даже для младших классов. В будущем я ознакомлюсь с методом Ван Райана для решения задачи по нахождению суммы углов звезды, а также буду исследовать звездчатые многогранники.
Оглянитесь вокруг, и вы увидите, как наш мир прекрасен, сколько еще неопознанного и неизведанного школьниками есть на земле. И хорошо, что есть наставники, способные зажечь в нас искорки знаний.
И если звезды зажигают, значит, это кому-нибудь нужно…
СПИСОК ИСПОЛЬЗОВАННЫХ ИСТОЧНИКОВ
1. Джек Триседждер «Словарь символов», Изд. «Мир», М., 1989г, 275 стр.
2. Мартин Гарднер «Математические головоломки и развлечения», Изд. «Мир», М., 1971г, 231стр.
3. «Динамика геометрических фигур», М., Чистые пруды, 2007г, 46 стр.
4. Степанов ВД «Активизация внеурочной работы по математике в средней школе», М., «Просвещение», 1971г, 167 стр.
5. «Этот удивительный мир», М., Просвещение, 1982г, 356 стр.
6. «Система открытых задач по геометрии», М., Чистые пруды, 2009г, 78стр.
[1] Джек Триседдер «Словарь символов», стр 75
3 Приложение.
6 Приложение, Портрет Моны Лизы, стр 29
7 Приложение, стр 29


