АКАДЕМИЯ НАУК СССР
КОМИССИЯ ПО РАЗРАБОТКЕ НАУЧНОГО НАСЛЕДИЯ К. Э.ЦИОЛКОВСКОГО
ГОСУДАРСТВЕННА МУЗЕИ ИСТОРИИ КОСМОНАВТИКИ
им.
ТРУДЫ ДВАДЦАТЫХ ВТОРЫХ ЧТЕНИЙ К. Э.ЦИОЛКОВСКОГО
Калуга
Секция "Проблемы ракетной и космической техники"
1987 г.
О КОСМИЧЕСКОМ ЗОНДЕ К БЛИЖАЙШИМ ЗВЕЗДАМ
мечтал о "... переселений человечества к другому Солнцу”, считал, что оно возможно, ибо "...нет конца жизни, конца разуму и совершенствованию человечества. Прогресс его вечен" /I, с.139/. В то же время он предостерегал о тем, что никто не в силах этого (завоевания космоса - У. З.) предвидеть, если даже принять в расчет стремительную быстроту прогресса науки и техники настоящего времени... Быстрота нарастания прогресса есть, величина неизвестная" /2, с.386/. В то время Циолковскому трудно было предсказать конкретный срок появления межзвездных проектов, основанных на открытиях науки и техники. Такое время, возможно, уже наступает /3, 4/.
Ниже предлагается проект полета космического беспилотного зонда, способного достичь ближайшей звезды. Его осуществление позволит перейти уже к проектированию пилотируемой экспедиции к звездам - мечте .
Выбор реактивной системы и характеристик траектории.
Опираюсь на приобретенный опыт изучения Солнечной системы и с учетом успехов разработки наземных термоядерных установок, в настоящее время можно говорить о перспективах создания высокоэффективных разгонных движителей с реализацией периодического поджига и ускорения микромишеней лазерным лучом или сфокусированным пучком протонов в камере сгорания /3, 5, 6/. Расчеты показывают, что космическая реактивная термоядерная система имеет при определенных условиях потенциальные возможности для выведения небольшого контейнера с научной аппаратурой к планетной системе одной из ближайших звезд за время порядка 40-50 земных лет. Такая беспилотная экспедиция стала бы новым важным этапом в исследования Вселенной, открыв уникальное возможности для обнаружения планетных систем, изучения их физических характеристик, происхождении и эволюции, а также для решения других проблем поиска жизни во Вселенной. В свою очередь, создание подобной реактивной системы подняло бы на качественно новый уровень развитие космической индустрии.
Теоретические оценки проекта полета космического зонда к внесолнечным (пока гипотетическим) планетам основываются на законах релятивистской механика тел переменной массы покоя. Преодоление ракетой межзвездных расстояния за время жизни одного поколения людей требует разгона до огромных скоростей вплоть до 0.4 с (С - скорость света) и значительной энергия для гашения скорости у цели. В этом диапазоне скоростей ньютоновская механика дает ощутимые погрешности и, следовательно, требуется учесть релятивистские поправки как в расчете скоростей полета, так и в расчете затрат энергии.
Исходя из законов сохранения энергии (в связанной с ракетой системе отсчета Ко - системе отсчета) и импульса (в Kз - системе отсчета внешнего наблюдателя, связанной с Землей), можно записать одномерное обобщенное уравнение в Кз для расхода массы в виде
![]()
Здесь
- скорость ракеты в Кз, ω - скорость истечения продуктов сгорания в Ко, m0 - текущая масса, М0 - начальная масса реактивной системы, t - текущее время в Kз. При выводе этого уравнения использовано предположение о том, что возможна дозаправка основной реактивной системы в процессе полета. Это учитывается в правой части уравнения членом s, равным
,
где m0зап - масса покоя заправляемого топлива (мишени). Выражение для скорости истечения продуктов термоядерного взрыва мишеней записывается в общем виде следующим образом:
![]()
где
- начальная теплотворная способность ядерного топлива,
- функция, учитывающая изменение теплотворной способности топлива, σ - параметр, учитывающий дополнительную реакцию в топливе, ηi - внутренний коэффициент полезного действия.
При использовании на борту в качестве исходного топлива дейтерий в результате ядерной реакции синтеза будет вырабатываться 3He:
D + D → 3He+ n + 3,25 Мэв
( D - ядро дейтерия, n - нейтрон).
Если же топливо содержи еще и 6Li, то открывается возможность использования образующихся нейтронов и вместе с тем воспроизводится тритий:
6Li + n → T + 4He
( Т - ядро трития).
Регенерированный тритий позволяет пополнять запас топлива в процессе полета, и его можно использовать в дальнейшем для высокоэффективной реакции синтеза
D + T → 4He + n + 17,6 Мэв,
что открывает новые возможности. Решение уравнения (1) с учетом (2) показывает, что изменение теплотворной способности вносит определенный вклад в расход масс, но максимальный выигрыш в конечной массе дает космическая дозаправка s ; при этом оптимальным для дозаправки релятивистской ракеты является момент
при ηi =1, который достигается в конце работы ступени. Заметим. что при отсутствии дозаправки (s=0), идеальном внутреннем КПД (ηi) в отсутствии реакции в топливе (
) из (1) следует решение Аккерета, являющееся обобщением известной формулы на случай больших скоростей полета и энерговыделения:
|
Число ступеней определяется из решения уравнения
|
где N связало с массой покоя соотношением
,
а € получается из решения уравнения
![]()
Здесь € - отношение массы конструкция ступени к массе полезной нагрузки вместе с самой ступенью; λ - отношение массы полезной нагрузки ступени к массе полезной нагрузка вместе с самой ступенью. Реактивное ускорение предполагается постоянным и равным B0 ~ 0,015 g (g = 9.81 м/сек ). Разгон и торможение осуществляется соответственно от
и от ![]()
Приведенные оценки для выбранного варианта - космической релятивисткой системы при условии дозаправки в конце работы 1-й ступени (Q0=0.005, σ = 0.5, s = 0.5) позволяет получить довольно хорошее массовое отношение ~ 10-4. При числе ступеней Nопт = 5, полученном из (4) для массы космического аппарата (полезной нагрузки) ~ 450 кг это отношение при скорости истечения ω1 ≈ 0.1с, η1 ~ 0.8 обеспечивает на монтажной околоземной орбите массу ракетной системы ~ 3000 т, что сравнимо со стартовой массой лунного носителя "Сатурн-5" на поверхности Земля. Пря отсутствии дозаправки при том же числе ступеней и массе аппарата начальная масса реактивной системы оказывается на порядок больше. Из расчетов по методике /6/ получена следующая массовая сводка для релятивистской реактивной системы, снабженной гипотетическими микротермоядерными двигателями:
Номер ст.№ | 1 | 2 | 3 | 4 | 5 |
Масса ст., т | 2760 | 293 | 44 | 8 | 3 |
Масса мишеней, т | 2220 | 217 | 32 | 5 | 2 |
Разумеется, приведенные числа являются ориентировочными, оценочными. Первые четыре ступени должны служить для работы на участках ускорения и торможения, пятая ступень - на участках маневрирования и (или) выведения к выбранной планете.
Для сравнения отметим, что в известном проекте "Дедал" зонда для полета к звезде Барнарда число ступеней принято равным двум, что дает относительную полезную нагрузку 10-2 (масса первой ступени 47690 тонн, масса мишеней 46000 тонн; масса второй ступени 4980 тонн, масса мишеней 4000 тонн) при массе полезной нагрузки 450 тонн. При почти вчетверо меньшей максимальной скорости (~0.122с) предусматривается разгон с ускорением ~ 1 g космического корабля указанной массы, что требует начальной массы на монтажной орбите 53120 тонн. На наш взгляд, осуществить такой проект в обозримой перспективе будет весьма затруднительно. Кроме того, конечные цели различны: проект "Дедал" предполагает суточный пролег мимо звезды и планет, а рассматриваемый в настоящей работе проект намечает выход на стационарную орбиту или в точку либрации с проведением многолетних исследований.
Вместе с тем реализация более оптимистических характеристик рассматриваемого беспилотного зонда также сопряжена со значительными трудностями. Преодолевать их позволяет привлекательная идея использования регенерированного на борту трития, что потребует, однако, обеспечения автоматической транспортировки части мишеней отработавшей (почти) ступени на следующую и их пристыковку к мишеням этой ступени до расчетного начала ее работы. Возможность практической реализации такой идей также остается пока весьма проблематичной и требует дальнейшего всестороннего анализа.
Условие s > 0 при наличии космической дозаправки могло было бы обеспечить за счет пристыковки к основной ракетной системе дополнительного ракетного заправщика после окончили работы 1-ой ступени на
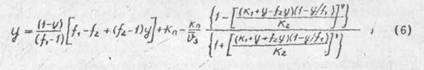
. В этом случае необходима посылка автономной ракеты с массовым отношением 10-2. Очевидные технические сложности и удорожание такого проекта существенно затруднят его осуществление. Для той же цели может быть использована и "пакетная" схема, когда заправщик входит в реактивную систему с начала экспедиция. Для оценки окончательных массовых характеристик решим следующую вариационную задачу: определить оптимальное распределение топлива по ступеням релятивистской ракеты-заправщика, обеспечивающее максимальное значение конечной скорости полета vm при принятом законе расходования полезной нагрузки xn, При числе ступеней Nопт = 2 и линейной зависимости xn от скорости выражение для определения x1 имеет вид

где
- отношение массы конструкции ступени к массе мишеней в ступени, z1 - относительная масса мишеней в первой ступени заправщика,
Кn - коэффициент, равный
![]()
Здесь
- скорости в начале и в конце заправки, (xпол )0 - начальная относительная масса полезной нагрузки. Для (xпол )0 = 0.1 расчеты по (6) дают
z1 = 0.374, z2 = 0.164
Для массы полезной нагрузка Gn = 2220 тонн:
(GT1)опт = 5387.15 тонн, (GT2)опт = 2362.2 тонн,
(GСТ1)опт = 8080.73 тонн, (GСТ2)опт = 3543.4 тонн.
Таким o6paзом, при скорости v3 = 0.1 первая ступень ракеты будет заполнена мишенями заправщика.
Отработка ступеней релятивистской ракеты в Солнечной системе.
Каждая ступень межзвездной ракеты, несущая последующие ступени как полезную нагрузку xn, при отработке может выполнять транспортные функции и, в частности, может быть использовано при создании научных баз на Луне и планетах солнечной системы. В таблице приведены некоторое заданные и рассчитанные параметры, характеризующие эти возможности первого этапа подготовка экспедиции. Такими параметрам являются:
Vxi - максимальная скорость, получаемая при данном выборе работающей ступени:
![]()
где

μ - число ступеней; vm - скорость, определяемая для конкретной планеты для равноускоренного движения
![]()
где Si - расстояние до заданной планеты; tзi - полное время экспедиция, равное
![]()
Nв- число возможных экспедиций, ωi Bi - скорости истечения и ускорение; параметр рк выбирается в соответствия с /5/.
Таблица I
Вариант i | i=1 Земля-Луна | i=2 Земля-Марс | i=3 Земля-Юпитер | i=4 Земля-Плутон |
Отн. м.п. н. | xn1 = 0.111 | xn2 = 0.0176 | xn3 = 0.00352 | xn4 = 0.00096 |
Отн. м.ст. f1 | 1,25 | 1,25 | 1,25 | 1,25 |
Отн. м.миш. | x1 = 0.71 | x2 = 0.0694 | x3 =0.01023 | x4 =0.0016 |
Параметр Pi | 0.2903 | 0.3850 | 0.6084 | 0.8800 |
Скорость ωi | 100 км/сек | 300 км/сек | 600 км/сек | 1000 км/сек |
Запаc vΣ | 120 км/сек | 900 км/сек | 2619 км/сек | 5850 км/сек |
Требуемая скор. vm | 56 км/сек | 423 кс/сек | 853 км/сек | 1000 км/сек |
Nв | 2 | 2.5 | 3 | 6 |
Tэicen | 0.7 | 32 | 62 | 500 |
Ускорен. Вi | 0.1 gз | 0.01gз | 0.01 gз | 0.001 gз |
В процессе отработки релятивистской ракеты может быть проверена также отработка добычи термоядерного топлива в атмосфере Юпитера для межзвездного зонда (по оценке /3/, там содержатся до 109 тонн 3He).
Следует отметить необходимость утяжеления ступеней из-за потери масс при взаимодействии с внешними частицами (пример - работа /7/). В проекте "Дедал" усиление первой ступени составляет 0.03%, второй - 5%. Оценки, проведенные нами для первой ступени - 0.5%, второй - 7.7%, третьей - 16%, четвертой - 5%. Это больше, чем в проекте "Дедал", так как в обсуждаемом проекте скорости движения почти вчетверо выше.
Выбор научной стратегии полета
Научная стратегия полета беспилотного межзвездного зонда должна предусматривать:
а) изучение физических характеристик межзвездного к околозвездного пространства,
б) обнаружение планетных систем и рекогносцировочное исследование их физических характеристик,
в) попытку обнаружения сигналов искусственного происхождения, отождествление их источника и установление с ним связи.
Принципиальной основой комплекса научного оборудования зонда служит использование пассивных дистанционных методов, включающих измерения излучений среды на трассе полета в нескольких характерных областях рентгеновских, ультрафиолетовых, инфракрасных волн, радиоволн, а также периодический телевизионный "репортаж", одновременно служащий целям привязки и автономной навигации. Следует при этом принять во внимание изменения картины пространственного расположения на небесной cфеpe и яркости звездных источников пря релятивистских скоростях полета зонда. Численное моделирование этого эффекта указывает на сильное группирование и увеличение яркости звезд (голубое смещение) в направлении вектора скорости вследствие аберрация и эффекта Доплера. Традиционные контактные измерения плазмы (частицы и волны в широком энергетическом диапазоне), межзвездного магнитного поля и пылевого компонента (энергетический спектр и химический состав) позволят исследовать прямыми методами на длительном временном интервале параметры среды, для которой пока существуют лишь косвенные оценки, что повысит надежность интерпретация результатов наземных астрономических наблюдений. Весь комплекс измерений должен обладать высокой степенью автономности, возможностью предварительного анализа и фильтрации получаемой информации с целью повышения эффективности использования канала радиосвязи и бортовой энергетики.
Высокие требования к комплексу научной аппаратуры, к бортовой автоматике и логике на основе многофункциональной центральной БЦВМ и локальных микропроцессоров, к надежности и долговечности систем определяют облик зонда. Обеспечение этих требований реализуемо при условии достижения соотношения масс полезной нагрузки и массы самого аппарата со служебными системами на уровне не менее 30-35%, т. е. масса научного оборудования должна составить не менее 150 кг.
Оценим потребную мощность Pe бортового передатчика зонда с расстояния ~ 10 св. лет. Мощность сигнала от бортового передатчика на Земле Pс = Pe G/4π R2 , где G = 4πSe/λ2 - коэффициент усиления бортовой антенны, Se - ее площадь.
В свою очередь, шумы приемника Рш=кТ∆f , где Т - его шумовая температура; ∆f - ширина полосы, Гц; к - постоянная Болъцмана. При площади приемной антенны на Земле А отношение сигнал/шум определяется выражением PcA/кТ∆f . Отсюда, подставляя значение Рс, определим
![]()
Принимая λ = 3 мм, Т = 30 К, ∆f = 10 Гц, Рс/Рш =10, диаметре с бортовой антенны 30 м и диаметре наземной антенны 70 м получаем Ре ≈ 1.5 кВт. По-видимому, с учетом несколько худших реальных характеристик бортовой и приемной антенн (по эффективной площади и шумовой температуре в диапазоне миллиметровых волн) эту величину придется увеличить в несколько раз. Тем не менее, сделанная оценка приводит к важному выводу о вполне разумных и технически реализуемых характеристиках канала радиосвязи с зондом на расстоянии порядка 10 св. лет, обладающего приемлемой информативностью для передачи как данных научных измерений, так и телевизионного изобретения [так в тексте - im] (за время I сут при инфopмативности одного изображения 106 бит).
Литература
1. . Исследование мировых пространств реактивными приборами. ( гг.)-Собр. соч., т.2, М., с.100-139.
2. . Теория реактивного движения. - Там же, с.377-386.
3. A. Bond, A. R. Martin. Project Daedealus. – “Review Journal of the British Interplanetary Society" 1986, vol.39, p.335-390.
4. М. Я Маров, . О проекте полета космического зонда к планетной системе Звезды. - В сб.: Проблема поиска жизни во Вселенной. М., 1986, с. 215-220.
5. , . Лазерный "ключ" к термоядерной энергии. М., 1986.
6. . Оптимальный подбор ступеней составной многоступенчатой слаборелятивистской микротермоядерной ракеты в рамках специальной теории относительности. - В сб. Научное творчество и современное развитие его идей. М., 1984, с. 27-32.
7. C. И.Анисимов и др. Сверхскоростной удар и противометеоритная защита в проекте "Вега". -"Успехи механики”, 1986, т.9, вып.3, с. 3-50.


